mp-720719/Ca2Y2Si4H2CO16/anharm

Equation of state

../../_images/fig_bm2166.png

(a) Equation of state

Harmonic properties

../../_images/fig_bandos_pr4308.png

(a) Phonon dispersion with participation ratio and DOS

../../_images/fig_bandos6051.png

(b) Phonon dispersion and DOS

../../_images/fig_thermo4308.png

(c) Thermodynamic properties

Grüneisen parameters

../../_images/fig_gru_all1850.png

(a) Grüneisen parameters

../../_images/fig_gruneisen1850.png

(b) Phonon dispersion with Grüneisen parameters

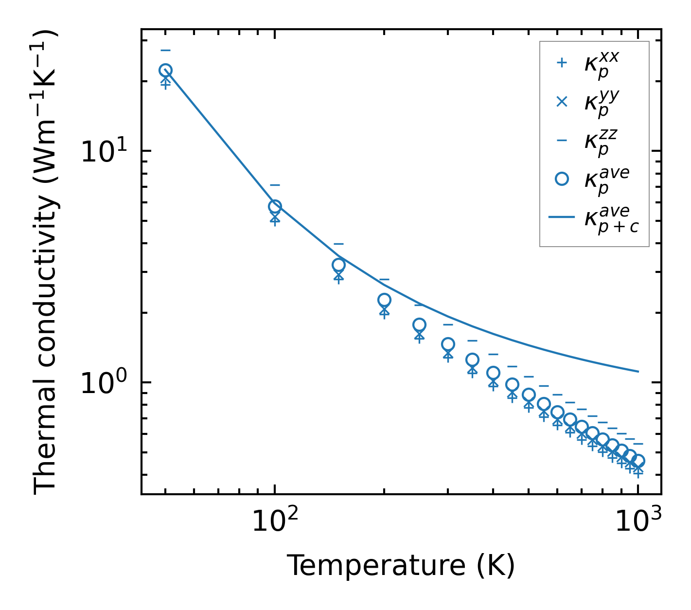
Thermal conductivity

3-phonon (LASSO), supercell 1x1x2 — q-mesh: 5x5x10, supercell: 1x1x2

../../_images/fig_kappa3545.png

(a) Temperature-dependent lattice thermal conductivity

../../_images/fig_kappa_vs_grain_size1878.png

(b) Peierls lattice thermal conductivity w.r.t grain size

Phonon lifetime and scattering rates

../../_images/fig_lifetime1840.png

(a) Phonon lifetime due to phonon-phonon scattering

../../_images/fig_scat_rates1839.png

(b) Phonon scattering rates

Cumulative and spectral thermal conductivity

../../_images/fig_cumu_frequency1840.png

(a) Spectral and cumulative thermal conductivity w.r.t frequency

../../_images/fig_cumu_mfp1840.png

(b) Spectral and cumulative thermal conductivity w.r.t MFP

Force constants

../../_images/fig_fc24121.png

(a) Force constants w.r.t atomic distance

Summary

../../_images/fig_times7689.png

(a) Computation time