mp-685150-2/PbF2/anharm

Equation of state

../../_images/fig_bm2480.png

(a) Equation of state

Harmonic properties

../../_images/fig_bandos_pr5011.png

(a) Phonon dispersion with participation ratio and DOS

../../_images/fig_thermo5011.png

(b) Thermodynamic properties

Grüneisen parameters

../../_images/fig_gru_all2133.png

(a) Grüneisen parameters

../../_images/fig_gruneisen2133.png

(b) Phonon dispersion with Grüneisen parameters

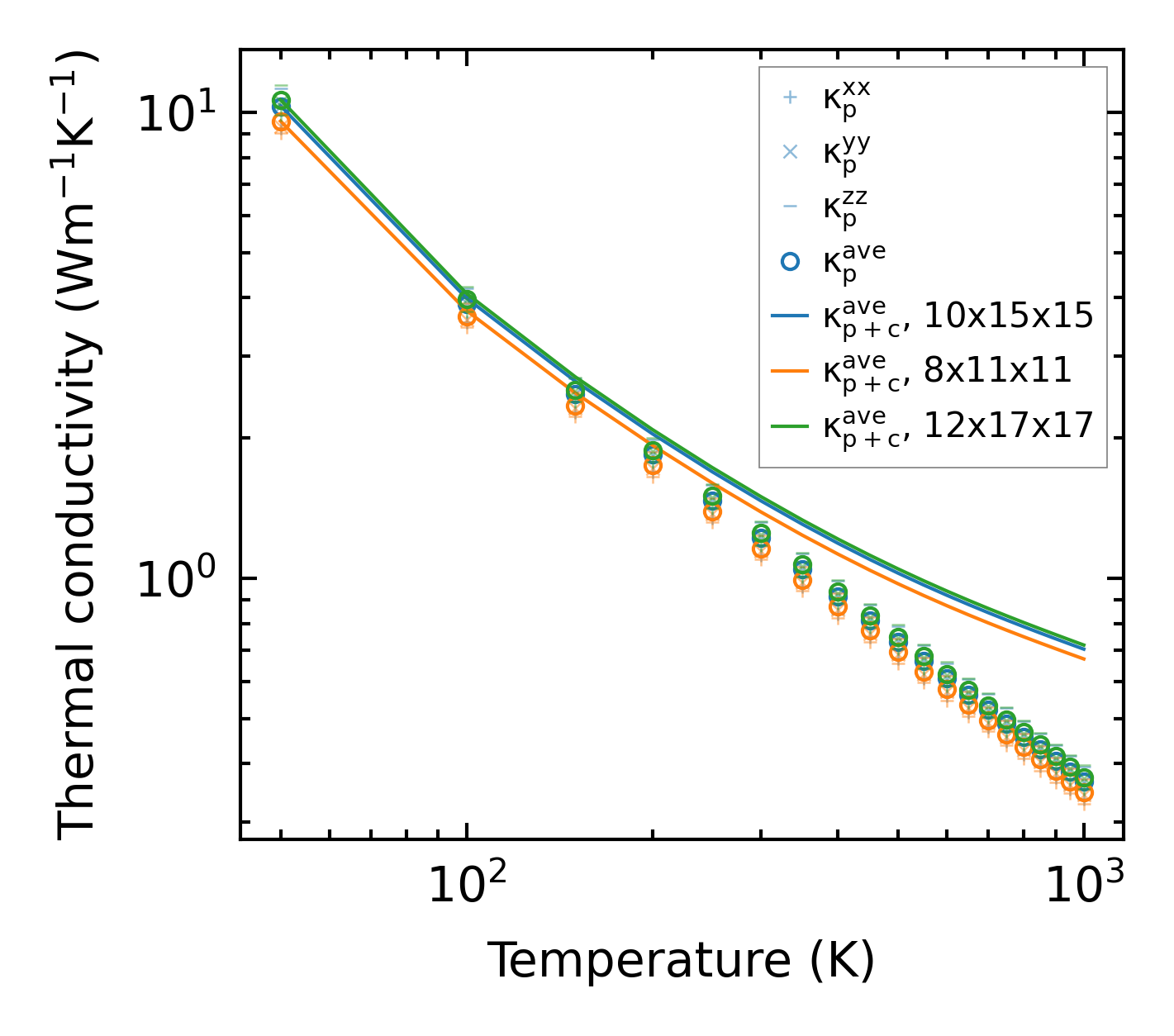
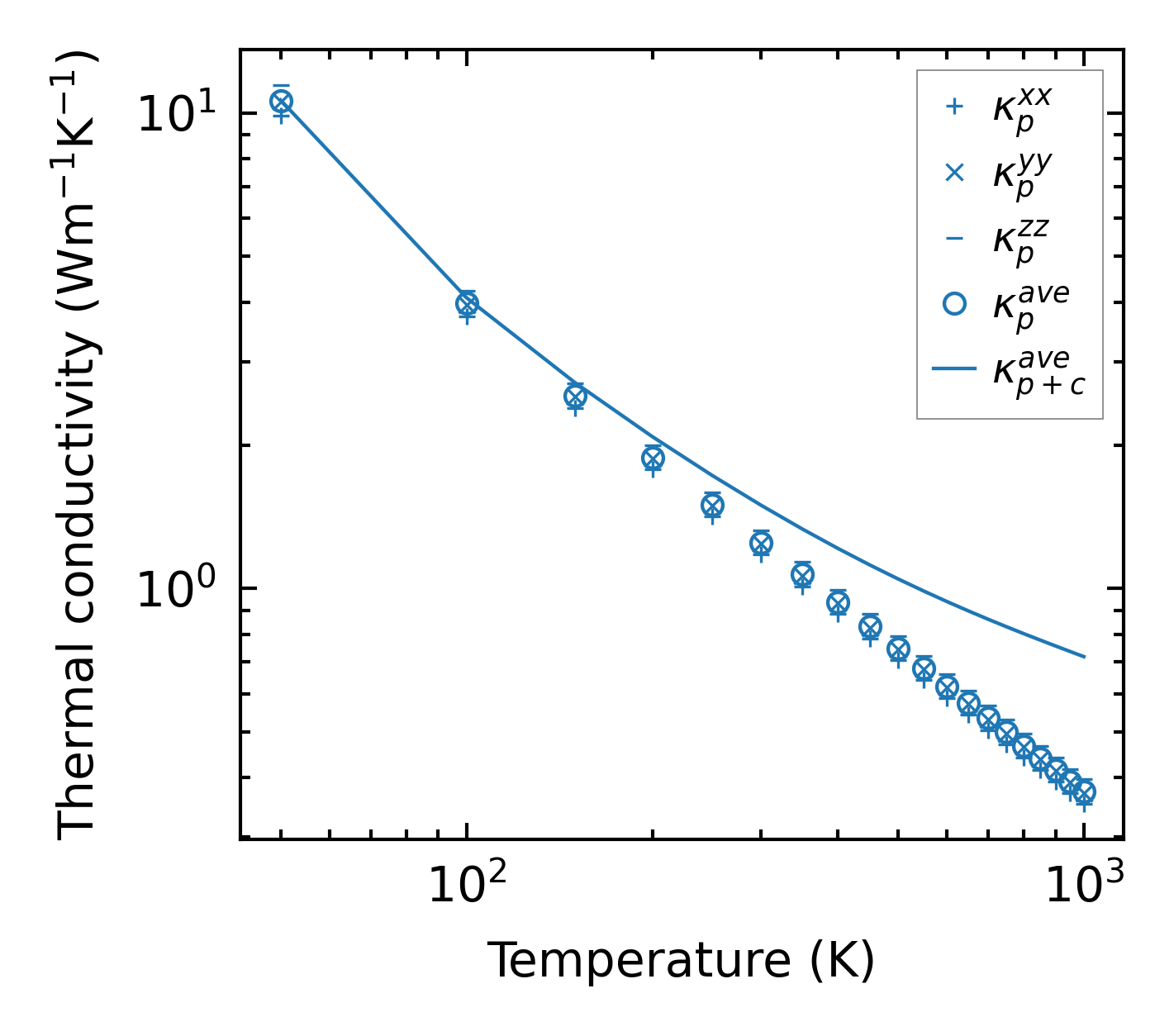
Thermal conductivity

3-phonon (LASSO) — q-mesh: 12x17x17, supercell: 2x3x2

../../_images/fig_kappa4087.png

(a) Temperature-dependent lattice thermal conductivity

../../_images/fig_kappa_vs_grain_size2165.png

(b) Peierls lattice thermal conductivity w.r.t grain size

Phonon lifetime and scattering rates

../../_images/fig_lifetime2120.png

(a) Phonon lifetime due to phonon-phonon scattering

../../_images/fig_scat_rates2119.png

(b) Phonon scattering rates

Cumulative and spectral thermal conductivity

../../_images/fig_cumu_frequency2120.png

(a) Spectral and cumulative thermal conductivity w.r.t frequency

../../_images/fig_cumu_mfp2120.png

(b) Spectral and cumulative thermal conductivity w.r.t MFP

Force constants

../../_images/fig_fc24816.png

(a) Force constants w.r.t atomic distance

Summary

../../_images/fig_kappa4088.png

(a) Temperature-dependent lattice thermal conductivity

../../_images/fig_times8918.png

(b) Computation time