mp-685120-2/Al2Se3/anharm

Equation of state

../../_images/fig_bm2477.png

(a) Equation of state

Harmonic properties

../../_images/fig_bandos_pr5009.png

(a) Phonon dispersion with participation ratio and DOS

../../_images/fig_thermo5009.png

(b) Thermodynamic properties

Grüneisen parameters

../../_images/fig_gru_all2131.png

(a) Grüneisen parameters

../../_images/fig_gruneisen2131.png

(b) Phonon dispersion with Grüneisen parameters

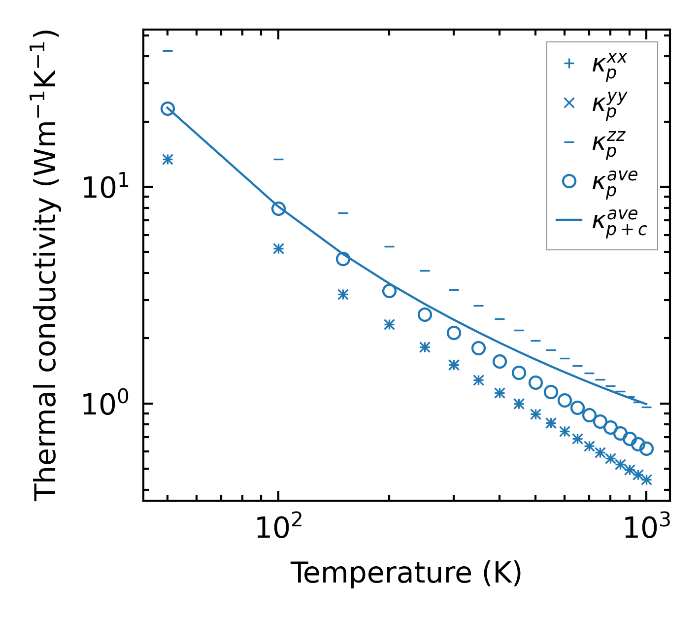
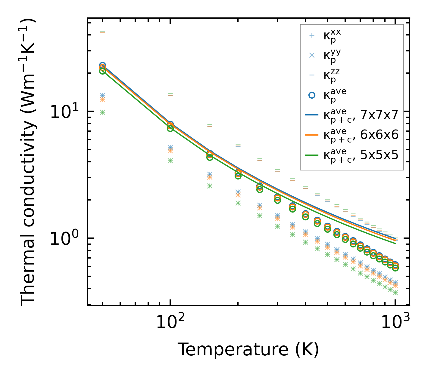
Thermal conductivity

3-phonon (LASSO) — q-mesh: 7x7x7, supercell: 1x1x1

../../_images/fig_kappa4083.png

(a) Temperature-dependent lattice thermal conductivity

../../_images/fig_kappa_vs_grain_size2163.png

(b) Peierls lattice thermal conductivity w.r.t grain size

Phonon lifetime and scattering rates

../../_images/fig_lifetime2118.png

(a) Phonon lifetime due to phonon-phonon scattering

../../_images/fig_scat_rates2117.png

(b) Phonon scattering rates

Cumulative and spectral thermal conductivity

../../_images/fig_cumu_frequency2118.png

(a) Spectral and cumulative thermal conductivity w.r.t frequency

../../_images/fig_cumu_mfp2118.png

(b) Spectral and cumulative thermal conductivity w.r.t MFP

Force constants

../../_images/fig_fc24814.png

(a) Force constants w.r.t atomic distance

Summary

../../_images/fig_kappa4084.png

(a) Temperature-dependent lattice thermal conductivity

../../_images/fig_times8912.png

(b) Computation time