mp-679989/BiMo6Cl15/anharm

Harmonic properties

../../_images/fig_bandos_pr5139.png

(a) Phonon dispersion with participation ratio and DOS

../../_images/fig_thermo5139.png

(b) Thermodynamic properties

Grüneisen parameters

../../_images/fig_gru_all2151.png

(a) Grüneisen parameters

../../_images/fig_gruneisen2151.png

(b) Phonon dispersion with Grüneisen parameters

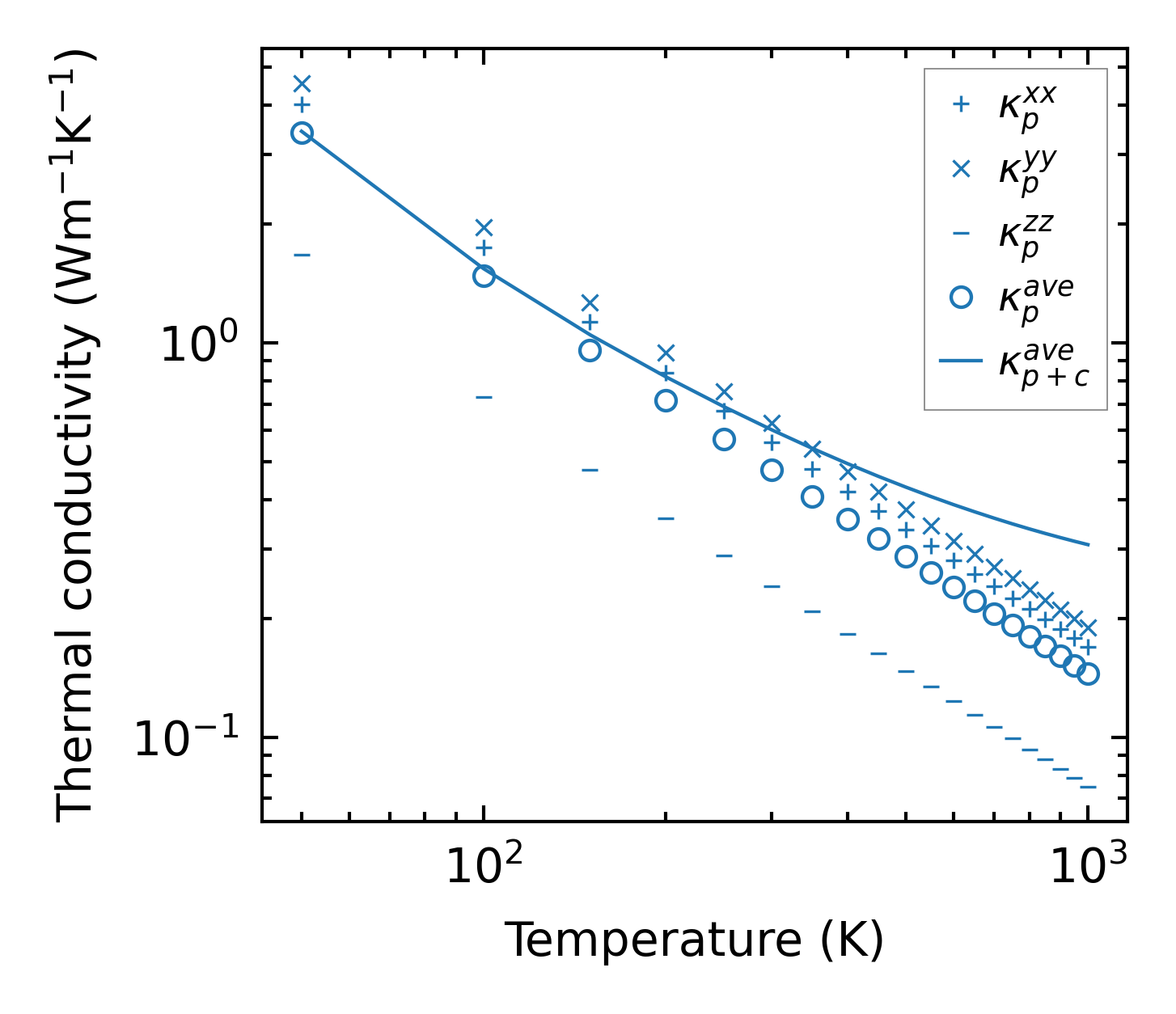
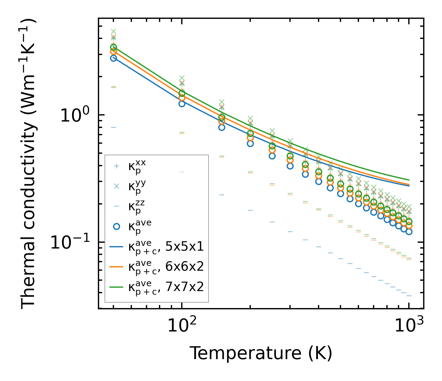
Thermal conductivity

3-phonon (LASSO) — q-mesh: 7x7x2, supercell: 1x1x1

../../_images/fig_kappa4122.png

(a) Temperature-dependent lattice thermal conductivity

../../_images/fig_kappa_vs_grain_size2183.png

(b) Peierls lattice thermal conductivity w.r.t grain size

Phonon lifetime and scattering rates

../../_images/fig_lifetime2138.png

(a) Phonon lifetime due to phonon-phonon scattering

../../_images/fig_scat_rates2137.png

(b) Phonon scattering rates

Cumulative and spectral thermal conductivity

../../_images/fig_cumu_frequency2138.png

(a) Spectral and cumulative thermal conductivity w.r.t frequency

../../_images/fig_cumu_mfp2138.png

(b) Spectral and cumulative thermal conductivity w.r.t MFP

Force constants

../../_images/fig_fc24944.png

(a) Force constants w.r.t atomic distance

Summary

../../_images/fig_kappa4123.png

(a) Temperature-dependent lattice thermal conductivity

../../_images/fig_times9212.png

(b) Computation time