mp-679930/Cu3P15I2/anharm

Harmonic properties

../../_images/fig_bandos_pr5132.png

(a) Phonon dispersion with participation ratio and DOS

../../_images/fig_thermo5132.png

(b) Thermodynamic properties

Grüneisen parameters

../../_images/fig_gru_all2147.png

(a) Grüneisen parameters

../../_images/fig_gruneisen2147.png

(b) Phonon dispersion with Grüneisen parameters

Thermal conductivity

3-phonon (LASSO) — q-mesh: 7x4x6, supercell: 1x1x1

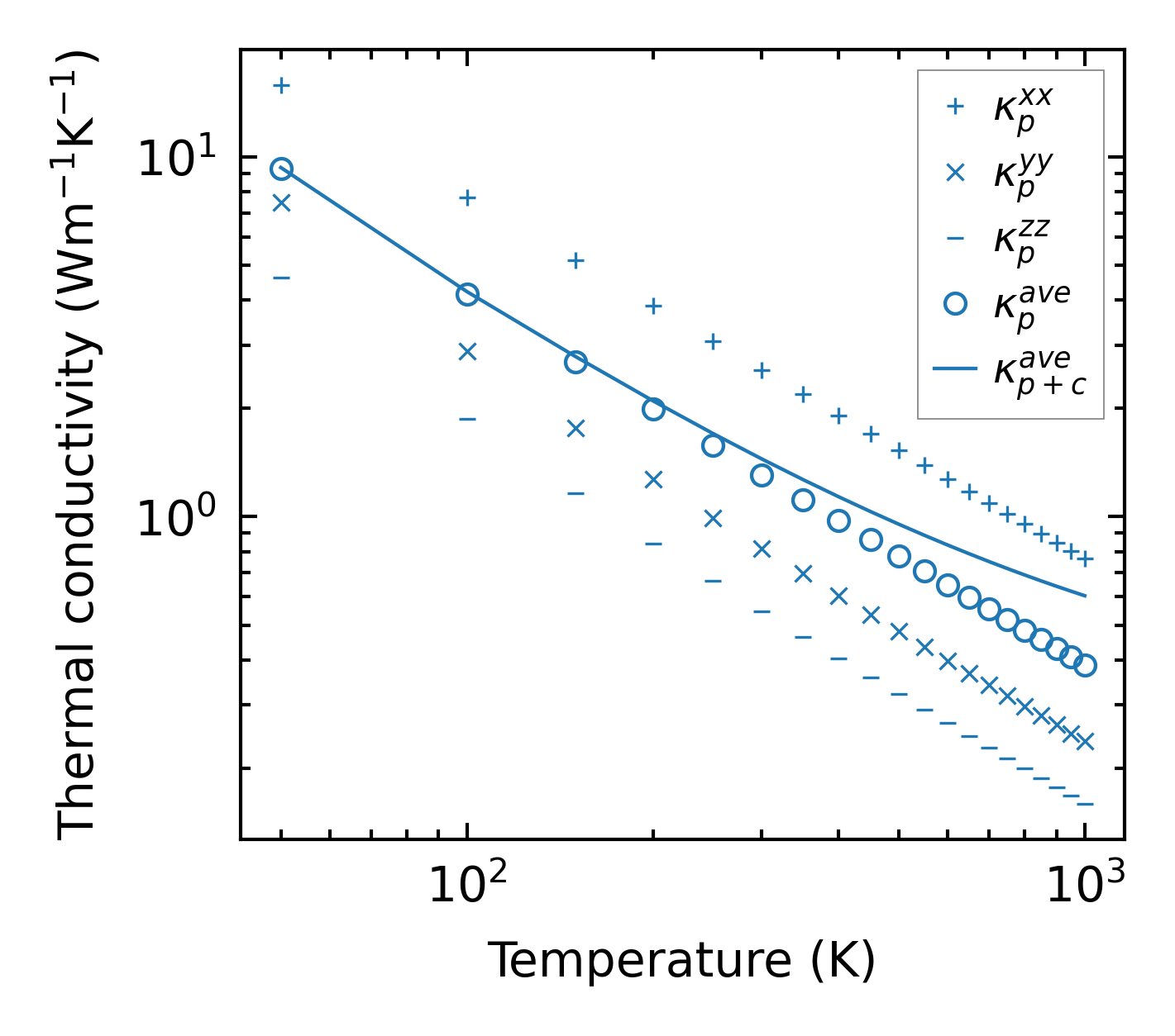
../../_images/fig_kappa4115.png

(a) Temperature-dependent lattice thermal conductivity

../../_images/fig_kappa_vs_grain_size2179.png

(b) Peierls lattice thermal conductivity w.r.t grain size

Phonon lifetime and scattering rates

../../_images/fig_lifetime2134.png

(a) Phonon lifetime due to phonon-phonon scattering

../../_images/fig_scat_rates2133.png

(b) Phonon scattering rates

Cumulative and spectral thermal conductivity

../../_images/fig_cumu_frequency2134.png

(a) Spectral and cumulative thermal conductivity w.r.t frequency

../../_images/fig_cumu_mfp2134.png

(b) Spectral and cumulative thermal conductivity w.r.t MFP

Force constants

../../_images/fig_fc24937.png

(a) Force constants w.r.t atomic distance

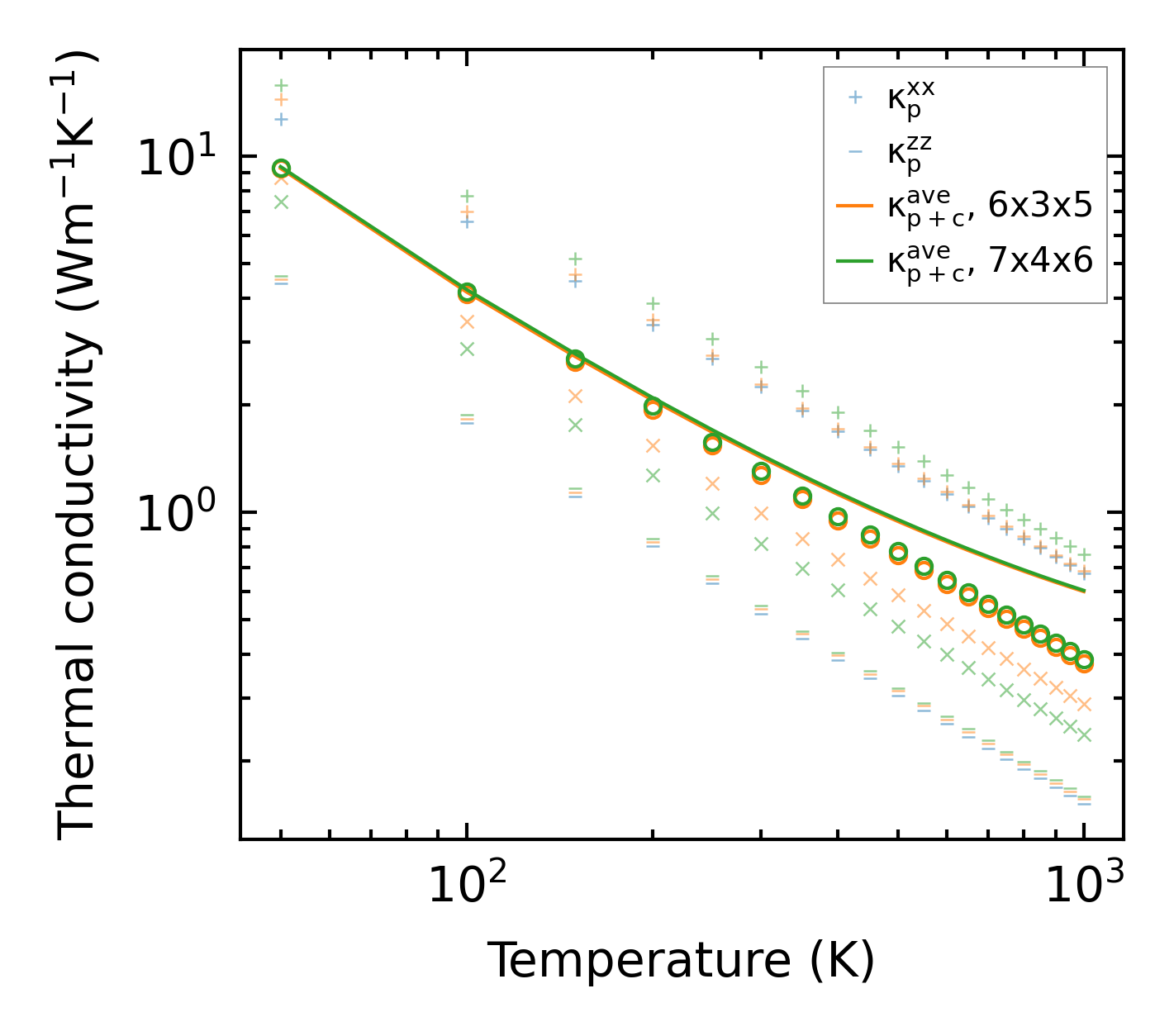
Summary

../../_images/fig_kappa4116.png

(a) Temperature-dependent lattice thermal conductivity

../../_images/fig_times9199.png

(b) Computation time