mp-679930-2/Cu3P15I2/anharm

Equation of state

../../_images/fig_bm2519.png

(a) Equation of state

Harmonic properties

../../_images/fig_bandos_pr5133.png

(a) Phonon dispersion with participation ratio and DOS

../../_images/fig_bandos7290.png

(b) Phonon dispersion and DOS

../../_images/fig_thermo5133.png

(c) Thermodynamic properties

Grüneisen parameters

../../_images/fig_gru_all2148.png

(a) Grüneisen parameters

../../_images/fig_gruneisen2148.png

(b) Phonon dispersion with Grüneisen parameters

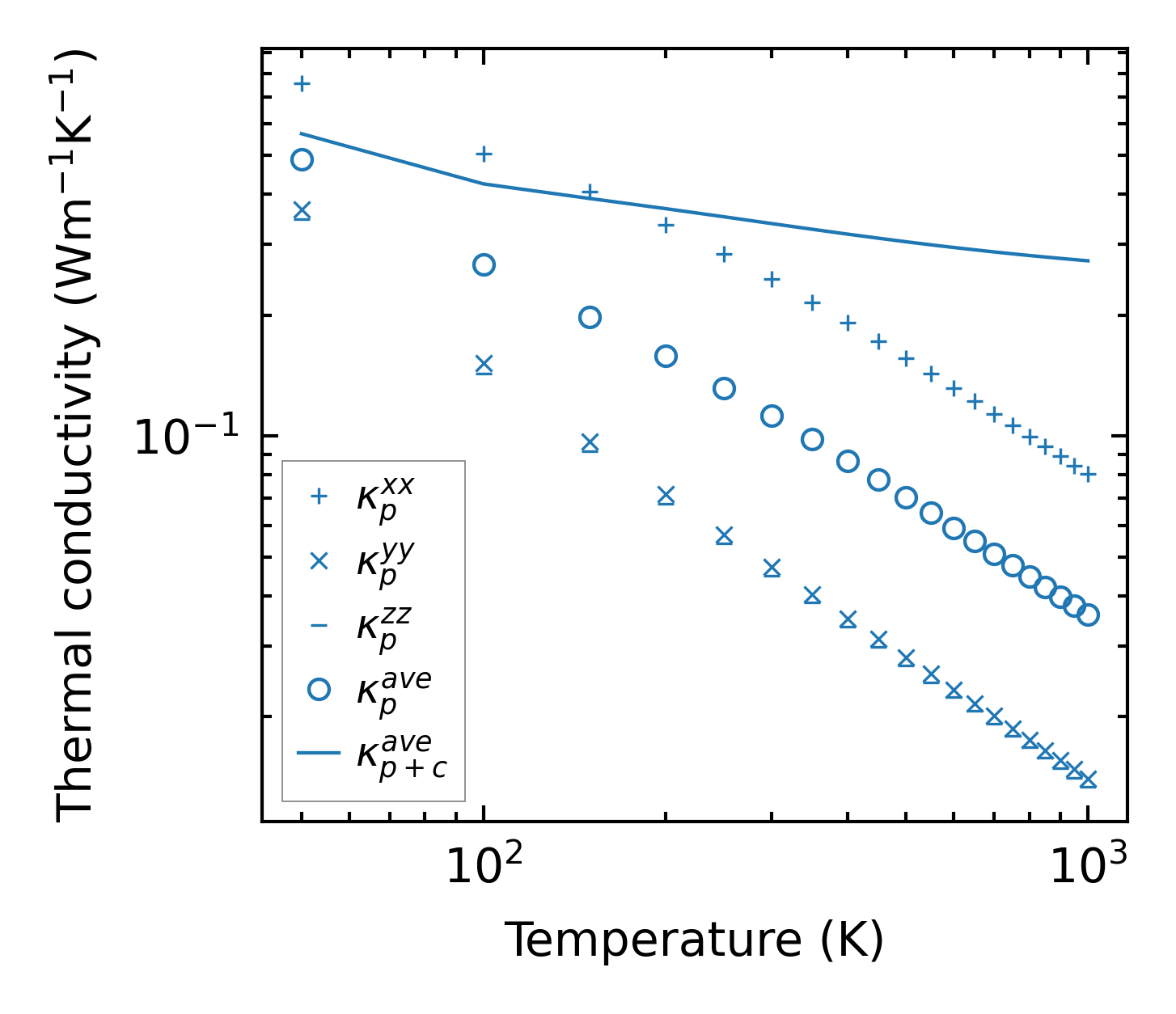
Thermal conductivity

3-phonon (LASSO), supercell 2x1x1 — q-mesh: 7x4x6, supercell: 2x1x1

../../_images/fig_kappa4117.png

(a) Temperature-dependent lattice thermal conductivity

../../_images/fig_kappa_vs_grain_size2180.png

(b) Peierls lattice thermal conductivity w.r.t grain size

Phonon lifetime and scattering rates

../../_images/fig_lifetime2135.png

(a) Phonon lifetime due to phonon-phonon scattering

../../_images/fig_scat_rates2134.png

(b) Phonon scattering rates

Cumulative and spectral thermal conductivity

../../_images/fig_cumu_frequency2135.png

(a) Spectral and cumulative thermal conductivity w.r.t frequency

../../_images/fig_cumu_mfp2135.png

(b) Spectral and cumulative thermal conductivity w.r.t MFP

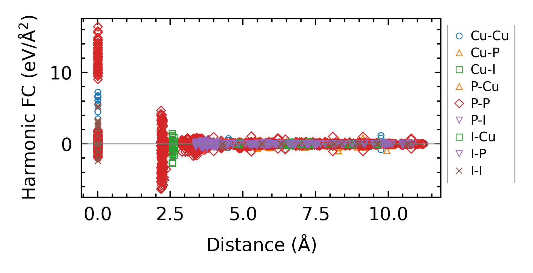
Force constants

../../_images/fig_fc24938.png

(a) Force constants w.r.t atomic distance

Summary

../../_images/fig_times9200.png

(a) Computation time