mp-673833/Li7VAs4/anharm

Harmonic properties

../../_images/fig_bandos_pr5416.png

(a) Phonon dispersion with participation ratio and DOS

../../_images/fig_thermo5416.png

(b) Thermodynamic properties

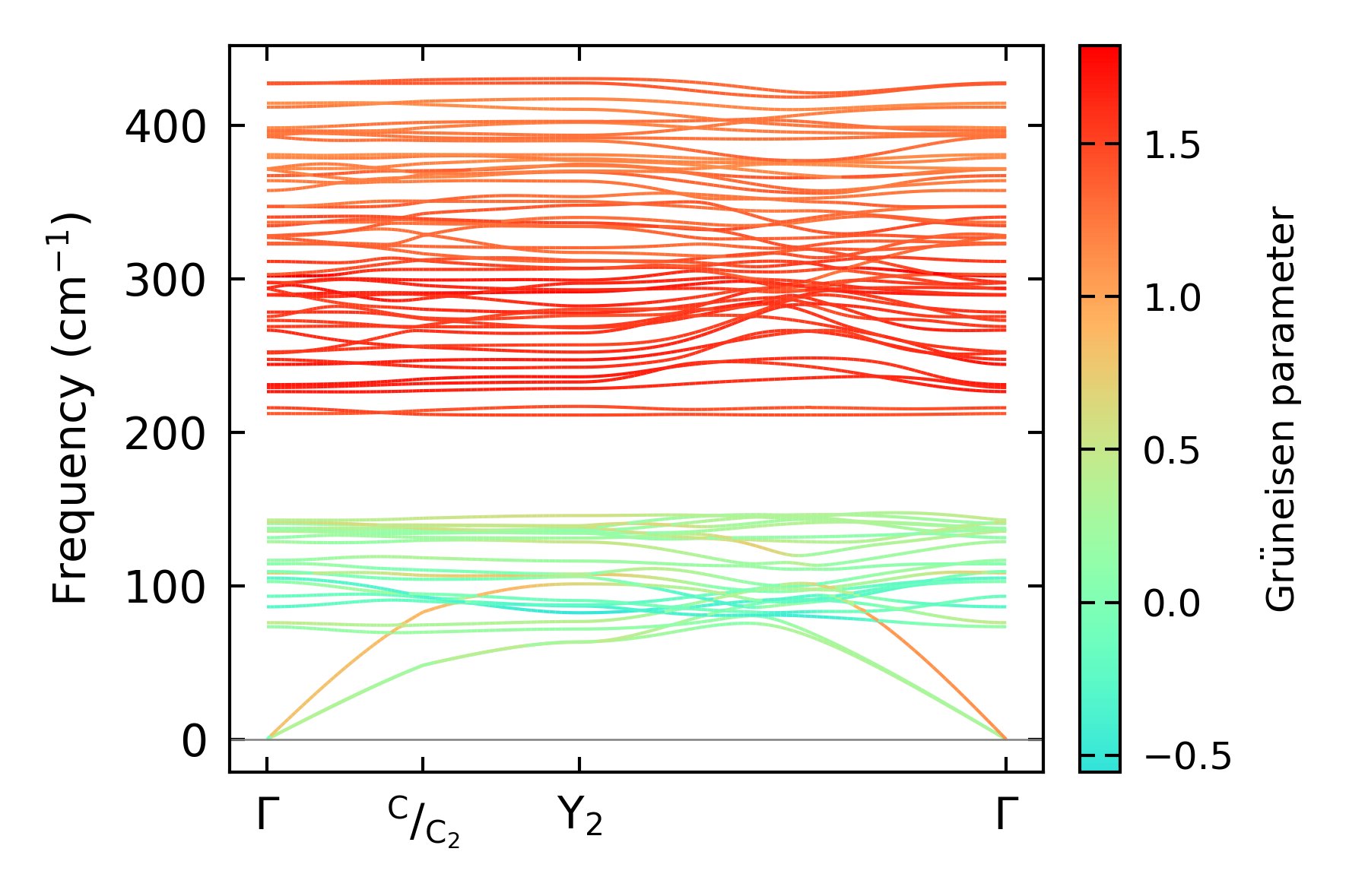
Grüneisen parameters

../../_images/fig_gru_all2250.png

(a) Grüneisen parameters

../../_images/fig_gruneisen2250.png

(b) Phonon dispersion with Grüneisen parameters

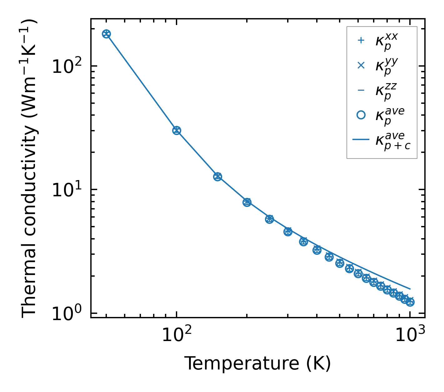
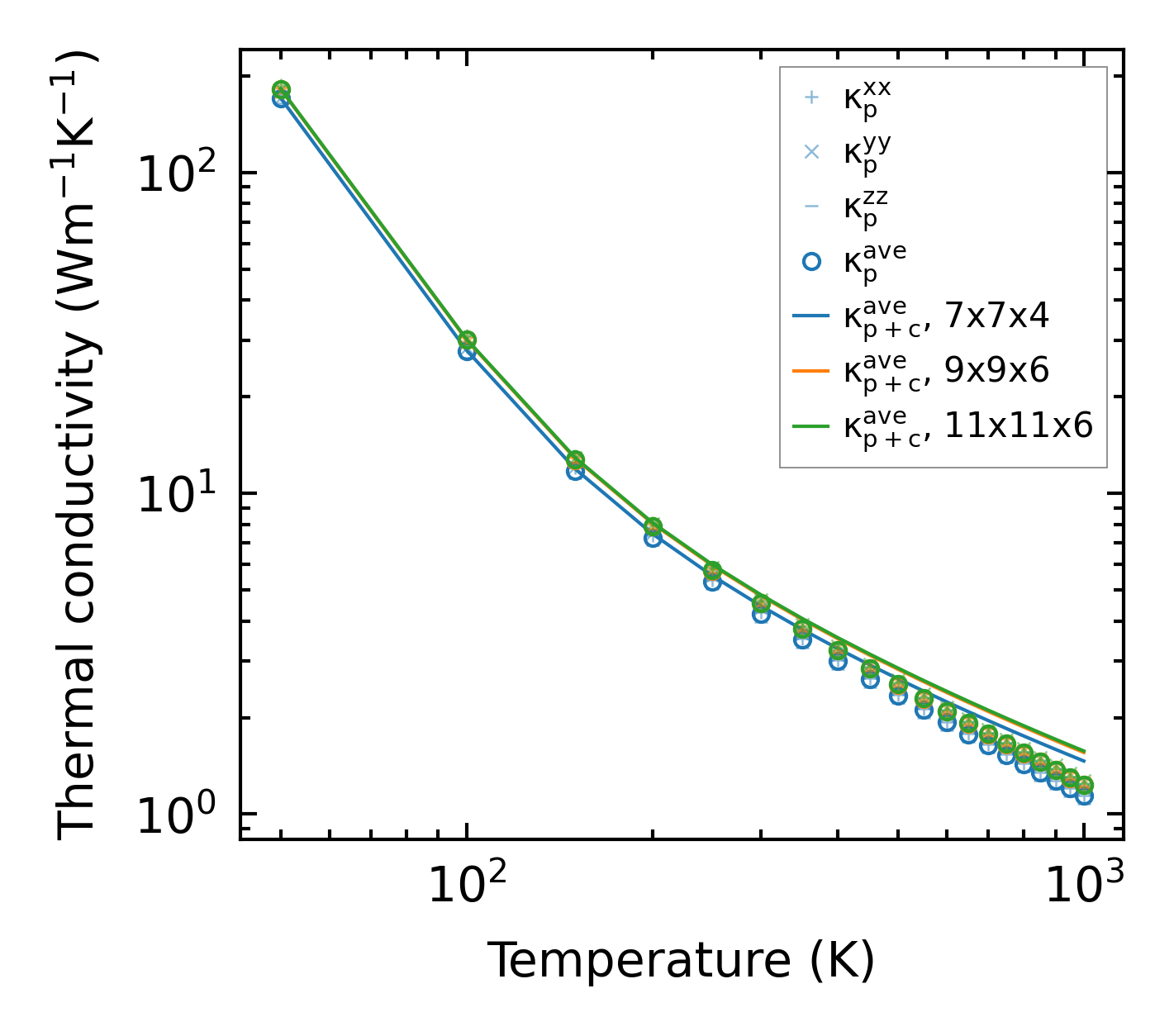
Thermal conductivity

3-phonon (LASSO) — q-mesh: 11x11x6, supercell: 1x2x1

../../_images/fig_kappa4304.png

(a) Temperature-dependent lattice thermal conductivity

../../_images/fig_kappa_vs_grain_size2281.png

(b) Peierls lattice thermal conductivity w.r.t grain size

Phonon lifetime and scattering rates

../../_images/fig_lifetime2236.png

(a) Phonon lifetime due to phonon-phonon scattering

../../_images/fig_scat_rates2235.png

(b) Phonon scattering rates

Cumulative and spectral thermal conductivity

../../_images/fig_cumu_frequency2236.png

(a) Spectral and cumulative thermal conductivity w.r.t frequency

../../_images/fig_cumu_mfp2236.png

(b) Spectral and cumulative thermal conductivity w.r.t MFP

Force constants

../../_images/fig_fc25221.png

(a) Force constants w.r.t atomic distance

Summary

../../_images/fig_kappa4305.png

(a) Temperature-dependent lattice thermal conductivity

../../_images/fig_times9817.png

(b) Computation time