mp-673833-2/Li7VAs4/anharm

Equation of state

../../_images/fig_bm2642.png

(a) Equation of state

Harmonic properties

../../_images/fig_bandos_pr5417.png

(a) Phonon dispersion with participation ratio and DOS

../../_images/fig_thermo5417.png

(b) Thermodynamic properties

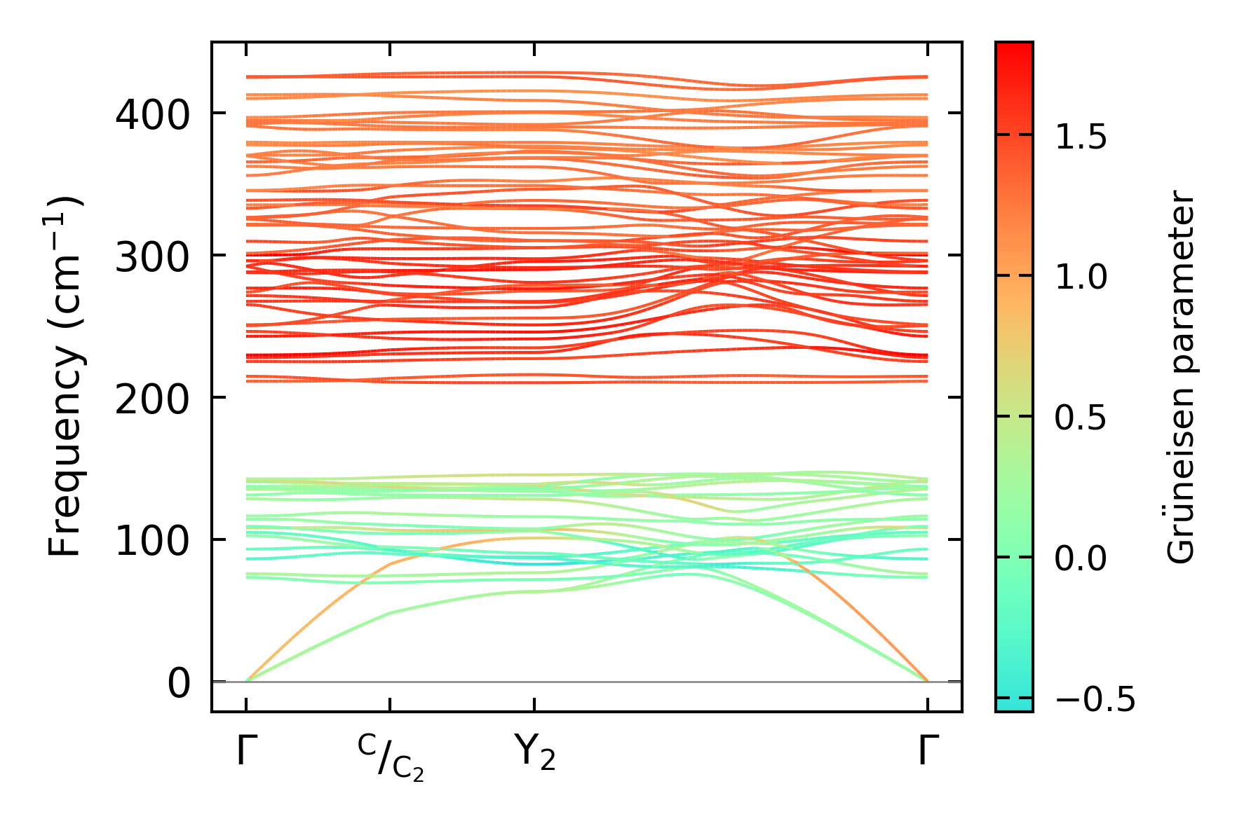
Grüneisen parameters

../../_images/fig_gru_all2251.png

(a) Grüneisen parameters

../../_images/fig_gruneisen2251.png

(b) Phonon dispersion with Grüneisen parameters

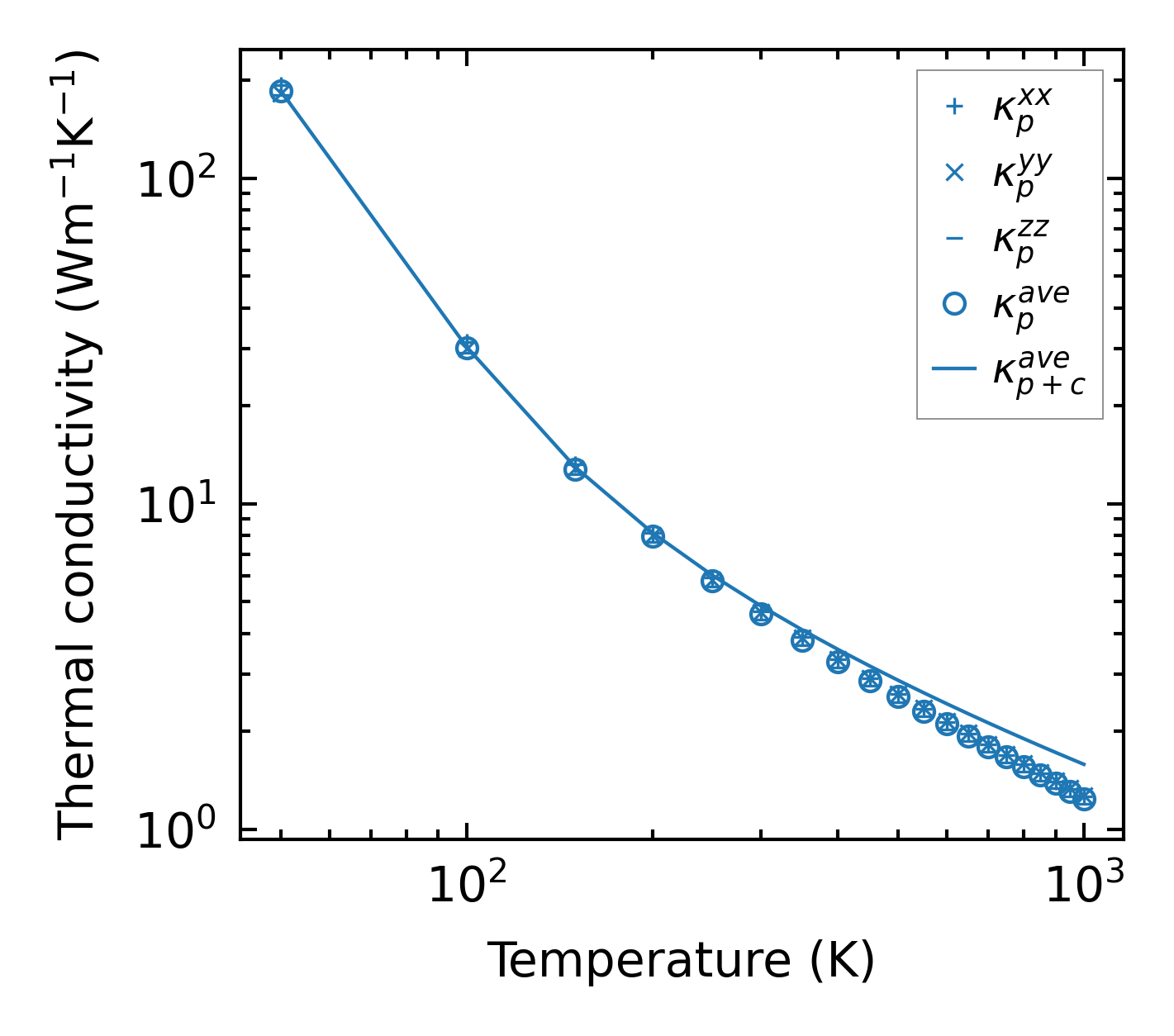
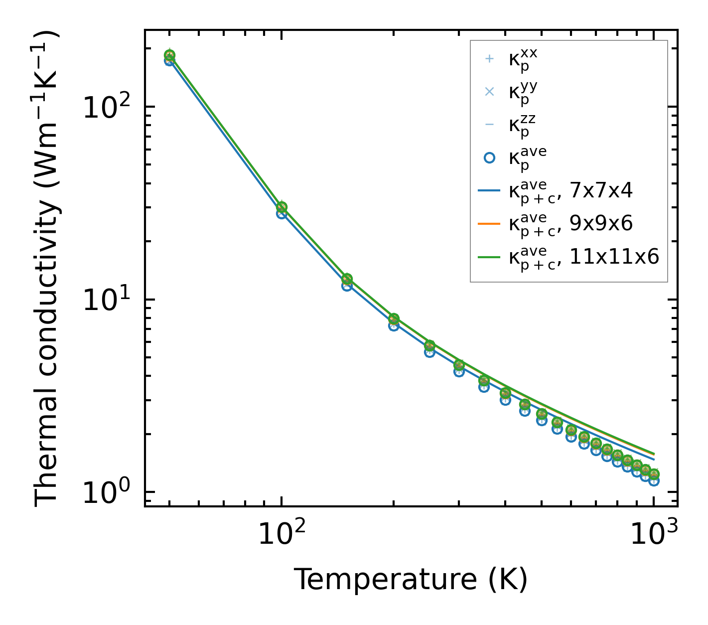
Thermal conductivity

3-phonon (LASSO) — q-mesh: 11x11x6, supercell: 1x2x1

../../_images/fig_kappa4306.png

(a) Temperature-dependent lattice thermal conductivity

../../_images/fig_kappa_vs_grain_size2282.png

(b) Peierls lattice thermal conductivity w.r.t grain size

Phonon lifetime and scattering rates

../../_images/fig_lifetime2237.png

(a) Phonon lifetime due to phonon-phonon scattering

../../_images/fig_scat_rates2236.png

(b) Phonon scattering rates

Cumulative and spectral thermal conductivity

../../_images/fig_cumu_frequency2237.png

(a) Spectral and cumulative thermal conductivity w.r.t frequency

../../_images/fig_cumu_mfp2237.png

(b) Spectral and cumulative thermal conductivity w.r.t MFP

Force constants

../../_images/fig_fc25222.png

(a) Force constants w.r.t atomic distance

Summary

../../_images/fig_kappa4307.png

(a) Temperature-dependent lattice thermal conductivity

../../_images/fig_times9818.png

(b) Computation time