mp-641965/RbAuC2S2N2/anharm

Harmonic properties

../../_images/fig_bandos_pr5722.png

(a) Phonon dispersion with participation ratio and DOS

../../_images/fig_thermo5722.png

(b) Thermodynamic properties

Grüneisen parameters

../../_images/fig_gru_all2384.png

(a) Grüneisen parameters

../../_images/fig_gruneisen2384.png

(b) Phonon dispersion with Grüneisen parameters

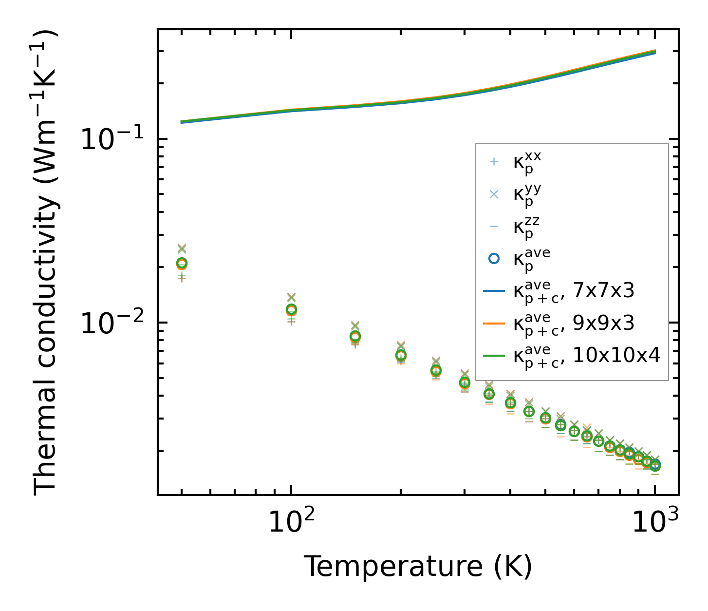
Thermal conductivity

3-phonon (LASSO) — q-mesh: 10x10x4, supercell: 1x2x1

../../_images/fig_kappa4551.png

(a) Temperature-dependent lattice thermal conductivity

../../_images/fig_kappa_vs_grain_size2416.png

(b) Peierls lattice thermal conductivity w.r.t grain size

Phonon lifetime and scattering rates

../../_images/fig_lifetime2369.png

(a) Phonon lifetime due to phonon-phonon scattering

../../_images/fig_scat_rates2368.png

(b) Phonon scattering rates

Cumulative and spectral thermal conductivity

../../_images/fig_cumu_frequency2369.png

(a) Spectral and cumulative thermal conductivity w.r.t frequency

../../_images/fig_cumu_mfp2369.png

(b) Spectral and cumulative thermal conductivity w.r.t MFP

Force constants

../../_images/fig_fc25518.png

(a) Force constants w.r.t atomic distance

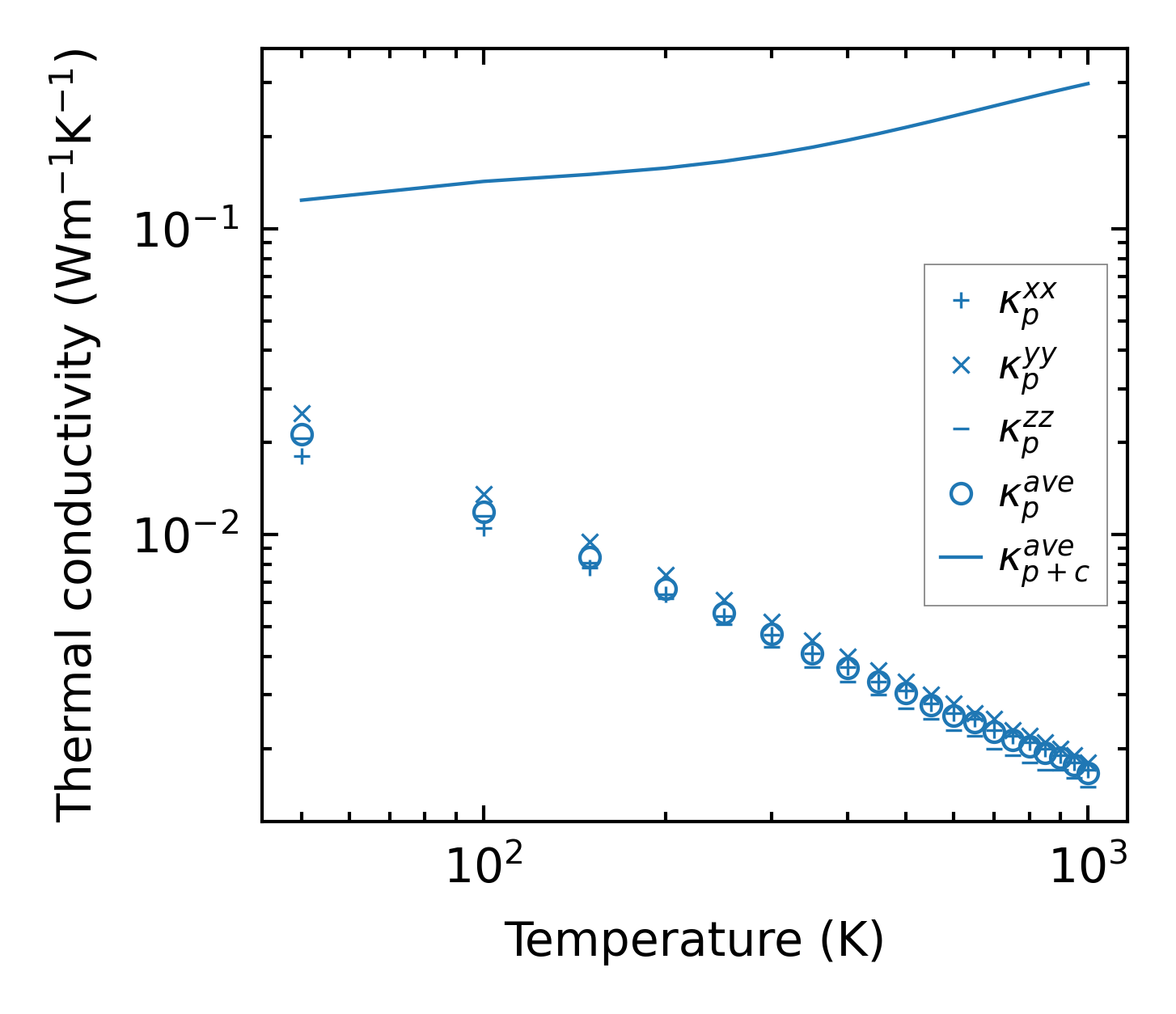
Summary

../../_images/fig_kappa4552.png

(a) Temperature-dependent lattice thermal conductivity

../../_images/fig_times10343.png

(b) Computation time