mp-641534/Nd3CuSiSe7/anharm

Equation of state

../../_images/fig_bm2834.png

(a) Equation of state

Harmonic properties

../../_images/fig_bandos_pr5717.png

(a) Phonon dispersion with participation ratio and DOS

../../_images/fig_thermo5717.png

(b) Thermodynamic properties

Grüneisen parameters

../../_images/fig_gru_all2381.png

(a) Grüneisen parameters

../../_images/fig_gruneisen2381.png

(b) Phonon dispersion with Grüneisen parameters

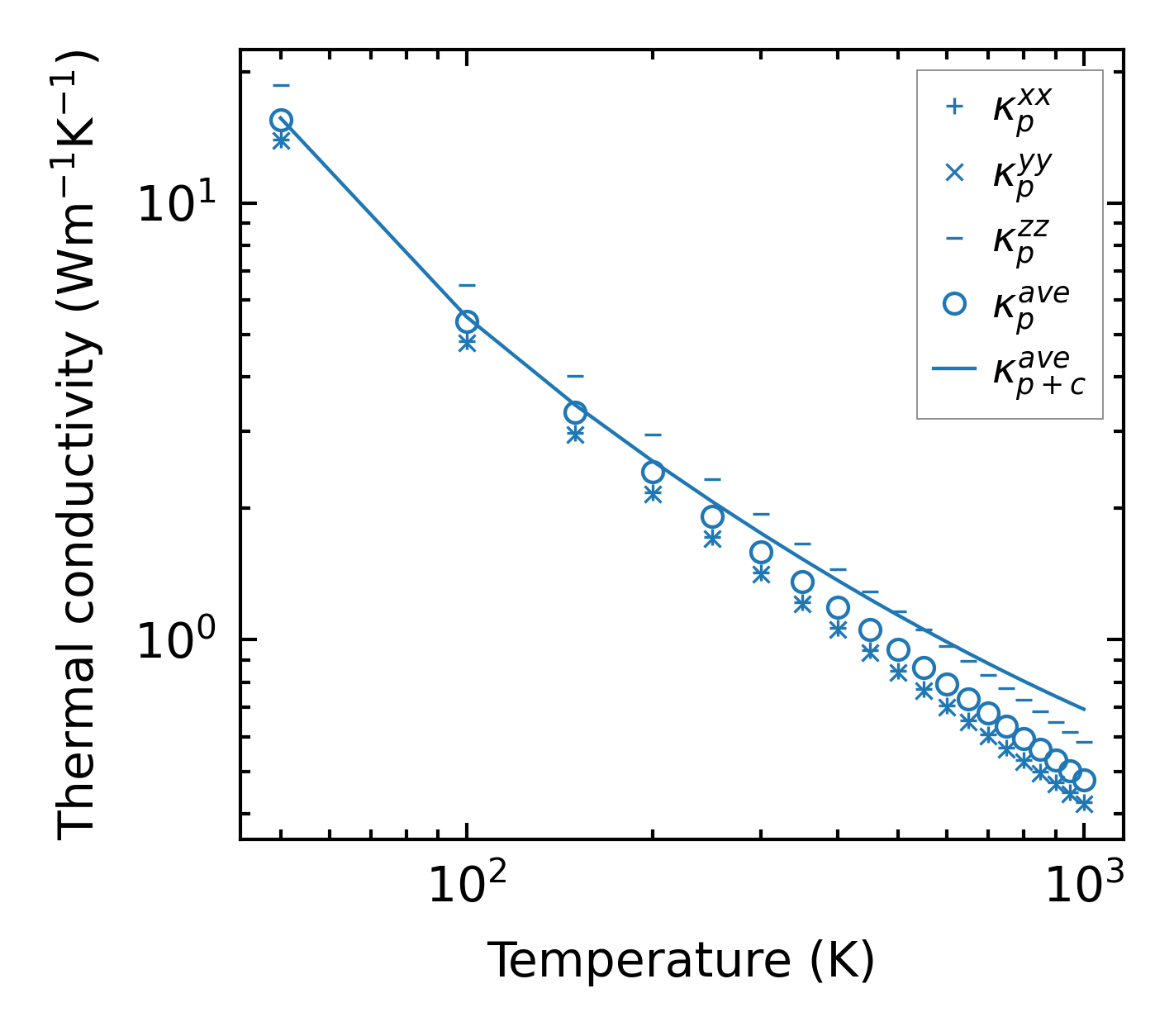
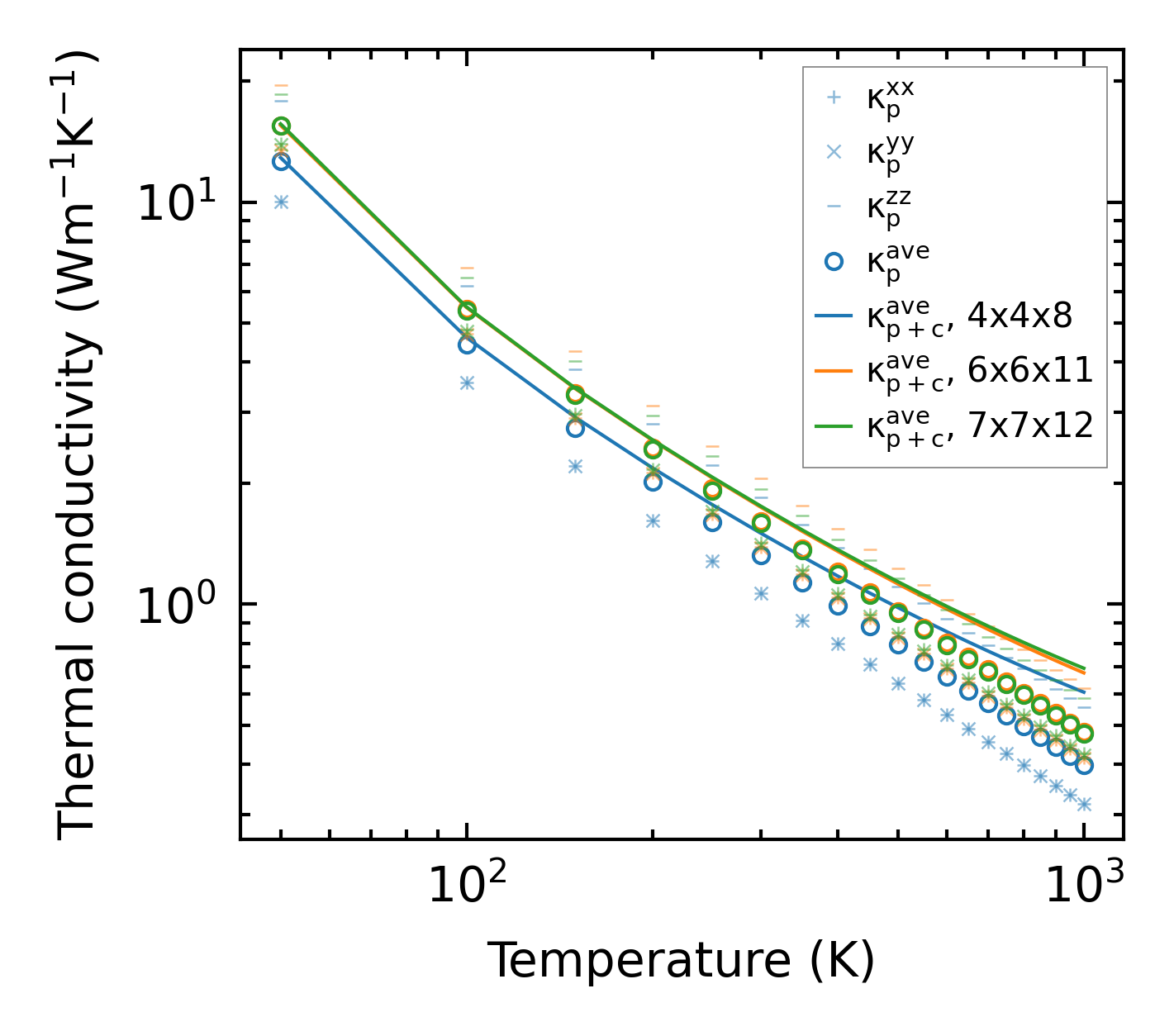
Thermal conductivity

3-phonon (LASSO) — q-mesh: 7x7x12, supercell: 1x1x2

../../_images/fig_kappa4544.png

(a) Temperature-dependent lattice thermal conductivity

../../_images/fig_kappa_vs_grain_size2412.png

(b) Peierls lattice thermal conductivity w.r.t grain size

3-phonon (LASSO), supercell 2x2x2 — q-mesh: 7x7x12, supercell: 2x2x2

../../_images/fig_kappa4545.png

(a) Temperature-dependent lattice thermal conductivity

../../_images/fig_kappa_vs_grain_size2413.png

(b) Peierls lattice thermal conductivity w.r.t grain size

Phonon lifetime and scattering rates

../../_images/fig_lifetime2366.png

(a) Phonon lifetime due to phonon-phonon scattering

../../_images/fig_scat_rates2365.png

(b) Phonon scattering rates

Cumulative and spectral thermal conductivity

../../_images/fig_cumu_frequency2366.png

(a) Spectral and cumulative thermal conductivity w.r.t frequency

../../_images/fig_cumu_mfp2366.png

(b) Spectral and cumulative thermal conductivity w.r.t MFP

Force constants

../../_images/fig_fc25514.png

(a) Force constants w.r.t atomic distance

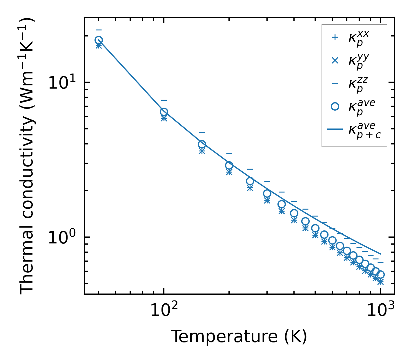
Summary

../../_images/fig_kappa4546.png

(a) Temperature-dependent lattice thermal conductivity

../../_images/fig_times10333.png

(b) Computation time