mp-641539/Si3N4/anharm

Harmonic properties

../../_images/fig_bandos_pr5718.png

(a) Phonon dispersion with participation ratio and DOS

../../_images/fig_thermo5718.png

(b) Thermodynamic properties

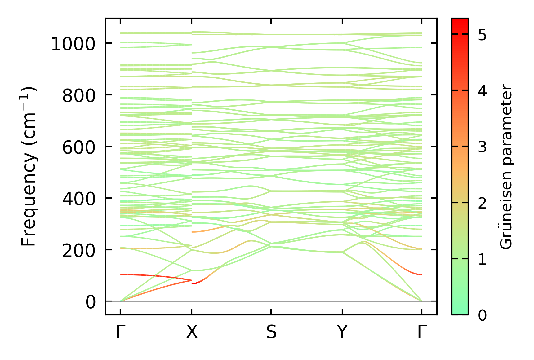
Grüneisen parameters

../../_images/fig_gru_all2382.png

(a) Grüneisen parameters

../../_images/fig_gruneisen2382.png

(b) Phonon dispersion with Grüneisen parameters

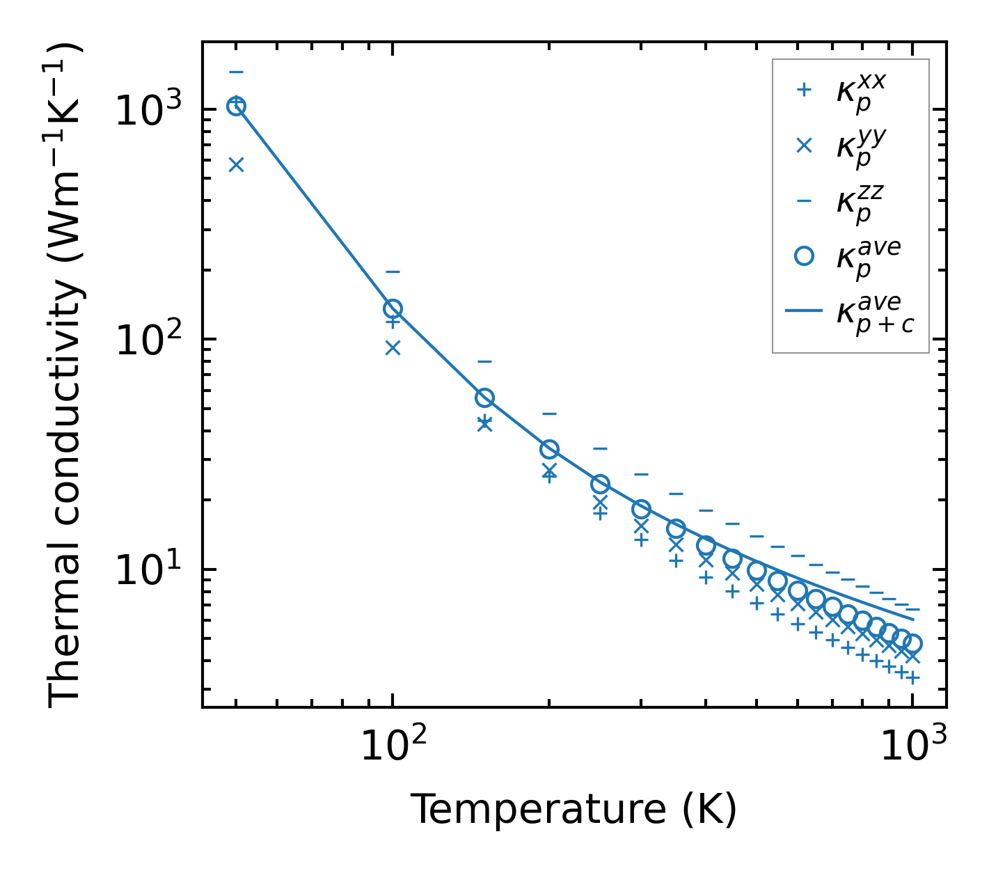
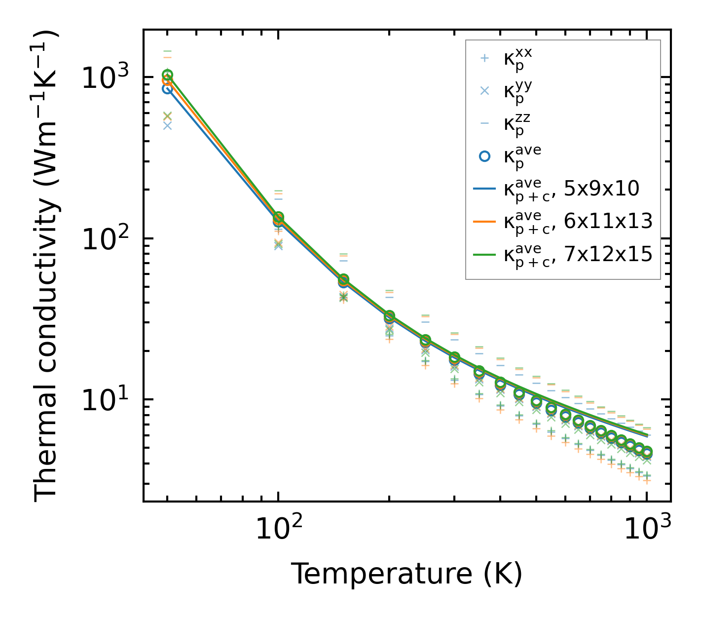
Thermal conductivity

3-phonon (LASSO) — q-mesh: 7x12x15, supercell: 1x2x2

../../_images/fig_kappa4547.png

(a) Temperature-dependent lattice thermal conductivity

../../_images/fig_kappa_vs_grain_size2414.png

(b) Peierls lattice thermal conductivity w.r.t grain size

Phonon lifetime and scattering rates

../../_images/fig_lifetime2367.png

(a) Phonon lifetime due to phonon-phonon scattering

../../_images/fig_scat_rates2366.png

(b) Phonon scattering rates

Cumulative and spectral thermal conductivity

../../_images/fig_cumu_frequency2367.png

(a) Spectral and cumulative thermal conductivity w.r.t frequency

../../_images/fig_cumu_mfp2367.png

(b) Spectral and cumulative thermal conductivity w.r.t MFP

Force constants

../../_images/fig_fc25515.png

(a) Force constants w.r.t atomic distance

Summary

../../_images/fig_kappa4548.png

(a) Temperature-dependent lattice thermal conductivity

../../_images/fig_times10334.png

(b) Computation time