mp-638731/LaCO3F/harm

Harmonic properties

../../_images/fig_bandos_pr5690.png

(a) Phonon dispersion with participation ratio and DOS

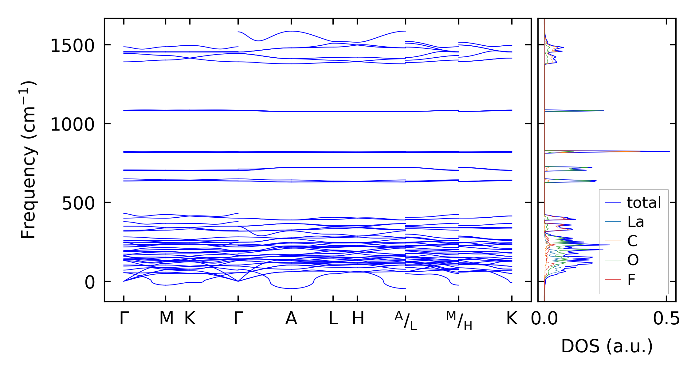
../../_images/fig_bandos8194.png

(b) Phonon dispersion and DOS

../../_images/fig_thermo5690.png

(c) Thermodynamic properties

Force constants

../../_images/fig_fc25487.png

(a) Force constants w.r.t atomic distance

Summary

../../_images/fig_times10297.png

(a) Computation time