mp-638070-2/LiB13C2/anharm

Equation of state

../../_images/fig_bm2816.png

(a) Equation of state

Harmonic properties

../../_images/fig_bandos_pr5684.png

(a) Phonon dispersion with participation ratio and DOS

../../_images/fig_thermo5684.png

(b) Thermodynamic properties

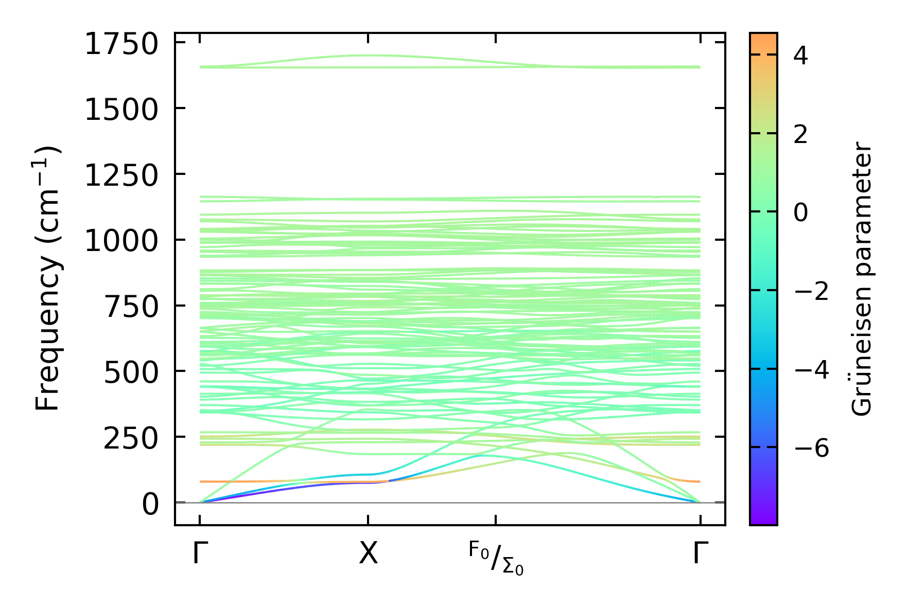
Grüneisen parameters

../../_images/fig_gru_all2371.png

(a) Grüneisen parameters

../../_images/fig_gruneisen2371.png

(b) Phonon dispersion with Grüneisen parameters

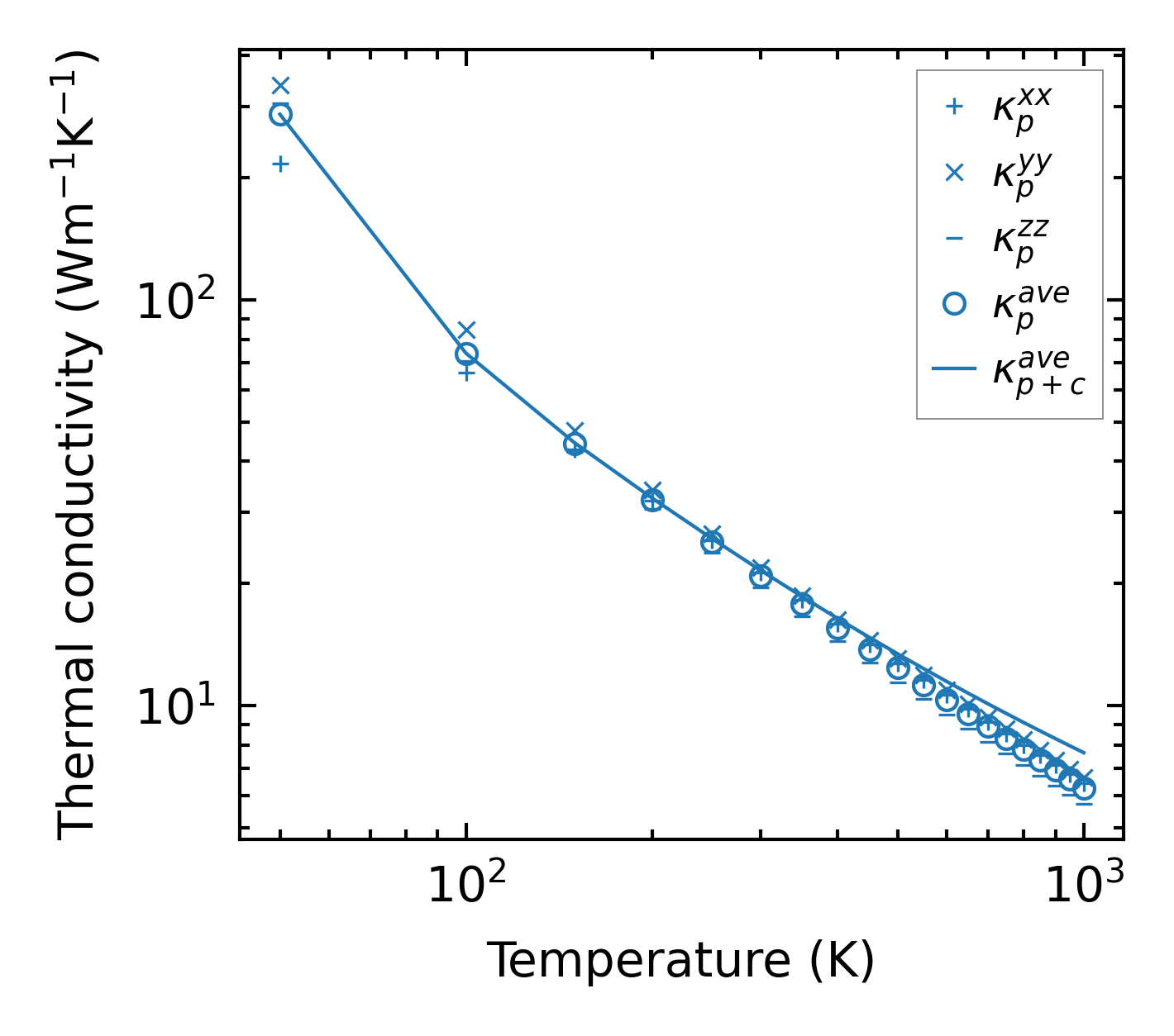
Thermal conductivity

3-phonon (LASSO) — q-mesh: 11x11x11, supercell: 2x1x1

../../_images/fig_kappa4524.png

(a) Temperature-dependent lattice thermal conductivity

../../_images/fig_kappa_vs_grain_size2402.png

(b) Peierls lattice thermal conductivity w.r.t grain size

Phonon lifetime and scattering rates

../../_images/fig_lifetime2356.png

(a) Phonon lifetime due to phonon-phonon scattering

../../_images/fig_scat_rates2355.png

(b) Phonon scattering rates

Cumulative and spectral thermal conductivity

../../_images/fig_cumu_frequency2356.png

(a) Spectral and cumulative thermal conductivity w.r.t frequency

../../_images/fig_cumu_mfp2356.png

(b) Spectral and cumulative thermal conductivity w.r.t MFP

Force constants

../../_images/fig_fc25482.png

(a) Force constants w.r.t atomic distance

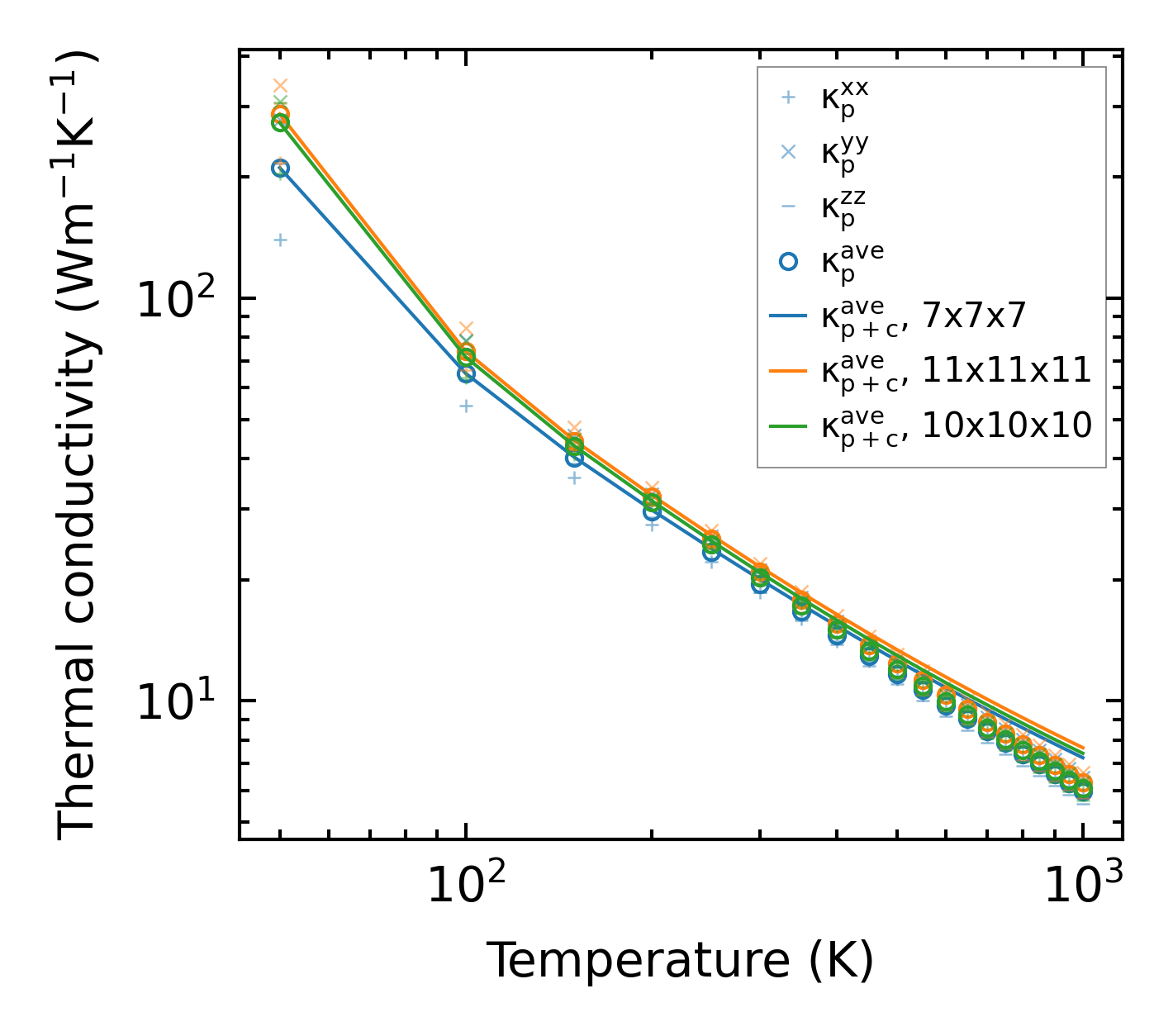
Summary

../../_images/fig_kappa4525.png

(a) Temperature-dependent lattice thermal conductivity

../../_images/fig_times10287.png

(b) Computation time