mp-632291-2/H2/anharm

Equation of state

../../_images/fig_bm2763.png

(a) Equation of state

Harmonic properties

../../_images/fig_bandos_pr5629.png

(a) Phonon dispersion with participation ratio and DOS

../../_images/fig_thermo5629.png

(b) Thermodynamic properties

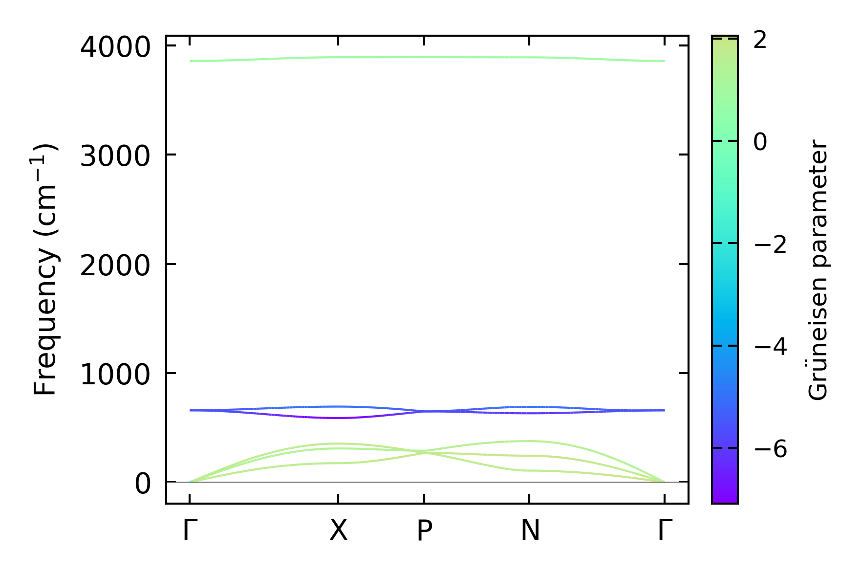
Grüneisen parameters

../../_images/fig_gru_all2352.png

(a) Grüneisen parameters

../../_images/fig_gruneisen2352.png

(b) Phonon dispersion with Grüneisen parameters

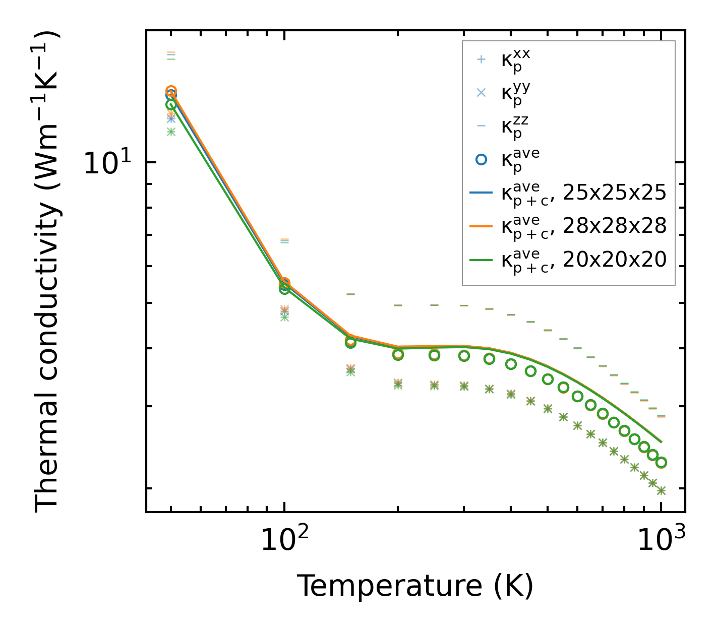
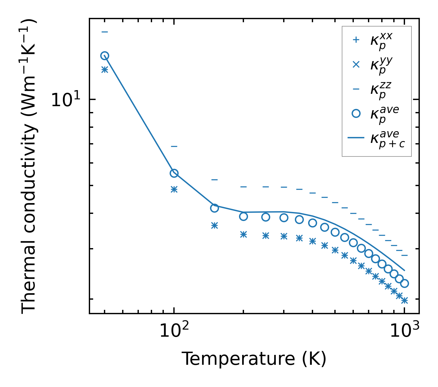
Thermal conductivity

3-phonon — q-mesh: 28x28x28, supercell: 3x3x3

../../_images/fig_kappa4492.png

(a) Temperature-dependent lattice thermal conductivity

../../_images/fig_kappa_vs_grain_size2383.png

(b) Peierls lattice thermal conductivity w.r.t grain size

Phonon lifetime and scattering rates

../../_images/fig_lifetime2337.png

(a) Phonon lifetime due to phonon-phonon scattering

../../_images/fig_scat_rates2336.png

(b) Phonon scattering rates

Cumulative and spectral thermal conductivity

../../_images/fig_cumu_frequency2337.png

(a) Spectral and cumulative thermal conductivity w.r.t frequency

../../_images/fig_cumu_mfp2337.png

(b) Spectral and cumulative thermal conductivity w.r.t MFP

Force constants

../../_images/fig_fc3199.png

(a) Force constants w.r.t atomic distance

Summary

../../_images/fig_kappa4493.png

(a) Temperature-dependent lattice thermal conductivity

../../_images/fig_times10163.png

(b) Computation time