mp-619510-2/CsHg2Br5/anharm

Equation of state

../../_images/fig_bm3188.png

(a) Equation of state

Harmonic properties

../../_images/fig_bandos_pr6056.png

(a) Phonon dispersion with participation ratio and DOS

../../_images/fig_bandos8913.png

(b) Phonon dispersion and DOS

../../_images/fig_thermo6056.png

(c) Thermodynamic properties

Grüneisen parameters

../../_images/fig_gru_all2460.png

(a) Grüneisen parameters

../../_images/fig_gruneisen2460.png

(b) Phonon dispersion with Grüneisen parameters

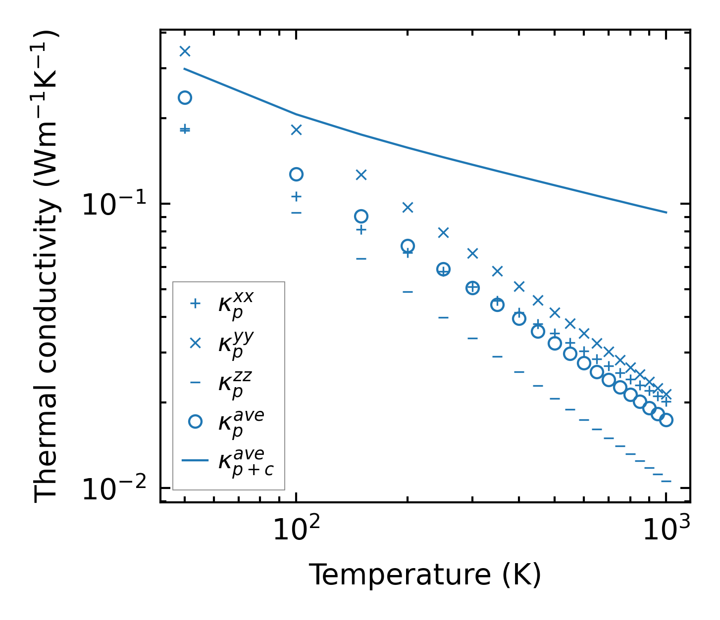
Thermal conductivity

3-phonon (LASSO), supercell 2x3x2 — q-mesh: 8x11x6, supercell: 2x3x2

../../_images/fig_kappa4685.png

(a) Temperature-dependent lattice thermal conductivity

../../_images/fig_kappa_vs_grain_size2491.png

(b) Peierls lattice thermal conductivity w.r.t grain size

Phonon lifetime and scattering rates

../../_images/fig_lifetime2443.png

(a) Phonon lifetime due to phonon-phonon scattering

../../_images/fig_scat_rates2442.png

(b) Phonon scattering rates

Cumulative and spectral thermal conductivity

../../_images/fig_cumu_frequency2443.png

(a) Spectral and cumulative thermal conductivity w.r.t frequency

../../_images/fig_cumu_mfp2442.png

(b) Spectral and cumulative thermal conductivity w.r.t MFP

Force constants

../../_images/fig_fc25847.png

(a) Force constants w.r.t atomic distance

Summary

../../_images/fig_times11084.png

(a) Computation time