mp-619015-2/CsCdCl3/anharm

Equation of state

../../_images/fig_bm3184.png

(a) Equation of state

Harmonic properties

../../_images/fig_bandos_pr6050.png

(a) Phonon dispersion with participation ratio and DOS

../../_images/fig_bandos8905.png

(b) Phonon dispersion and DOS

../../_images/fig_thermo6050.png

(c) Thermodynamic properties

Grüneisen parameters

../../_images/fig_gru_all2458.png

(a) Grüneisen parameters

../../_images/fig_gruneisen2458.png

(b) Phonon dispersion with Grüneisen parameters

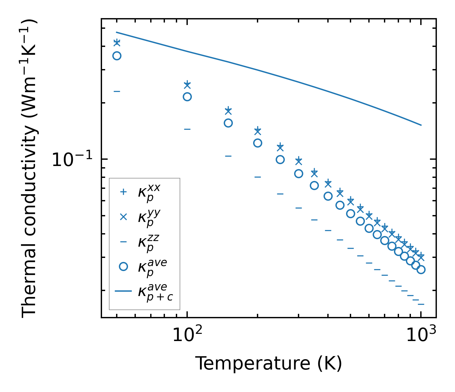
Thermal conductivity

3-phonon (LASSO) — q-mesh: 10x10x4, supercell: 2x2x1

../../_images/fig_kappa4681.png

(a) Temperature-dependent lattice thermal conductivity

../../_images/fig_kappa_vs_grain_size2489.png

(b) Peierls lattice thermal conductivity w.r.t grain size

Phonon lifetime and scattering rates

../../_images/fig_lifetime2441.png

(a) Phonon lifetime due to phonon-phonon scattering

../../_images/fig_scat_rates2440.png

(b) Phonon scattering rates

Cumulative and spectral thermal conductivity

../../_images/fig_cumu_frequency2441.png

(a) Spectral and cumulative thermal conductivity w.r.t frequency

../../_images/fig_cumu_mfp2440.png

(b) Spectral and cumulative thermal conductivity w.r.t MFP

Force constants

../../_images/fig_fc25841.png

(a) Force constants w.r.t atomic distance

Summary

../../_images/fig_kappa4682.png

(a) Temperature-dependent lattice thermal conductivity

../../_images/fig_times11075.png

(b) Computation time