mp-608311/Cs2Li3I5/anharm

Harmonic properties

../../_images/fig_bandos_pr5983.png

(a) Phonon dispersion with participation ratio and DOS

../../_images/fig_thermo5983.png

(b) Thermodynamic properties

Grüneisen parameters

../../_images/fig_gru_all2436.png

(a) Grüneisen parameters

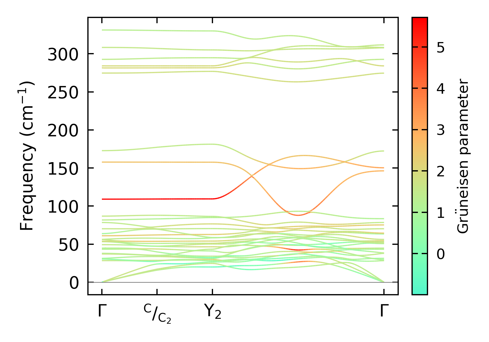
../../_images/fig_gruneisen2436.png

(b) Phonon dispersion with Grüneisen parameters

Thermal conductivity

3-phonon (LASSO) — q-mesh: 10x10x8, supercell: 1x3x2

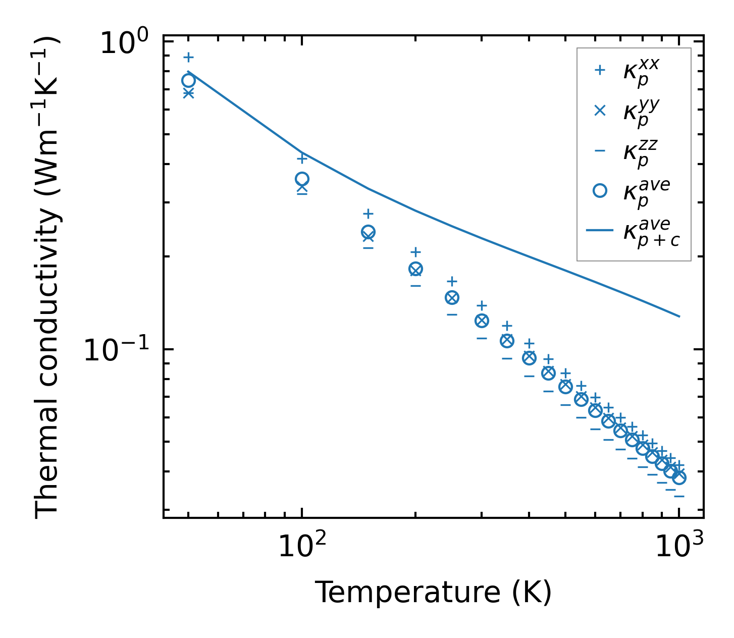
../../_images/fig_kappa4639.png

(a) Temperature-dependent lattice thermal conductivity

../../_images/fig_kappa_vs_grain_size2467.png

(b) Peierls lattice thermal conductivity w.r.t grain size

Phonon lifetime and scattering rates

../../_images/fig_lifetime2419.png

(a) Phonon lifetime due to phonon-phonon scattering

../../_images/fig_scat_rates2418.png

(b) Phonon scattering rates

Cumulative and spectral thermal conductivity

../../_images/fig_cumu_frequency2419.png

(a) Spectral and cumulative thermal conductivity w.r.t frequency

../../_images/fig_cumu_mfp2419.png

(b) Spectral and cumulative thermal conductivity w.r.t MFP

Force constants

../../_images/fig_fc25778.png

(a) Force constants w.r.t atomic distance

Summary

../../_images/fig_kappa4640.png

(a) Temperature-dependent lattice thermal conductivity

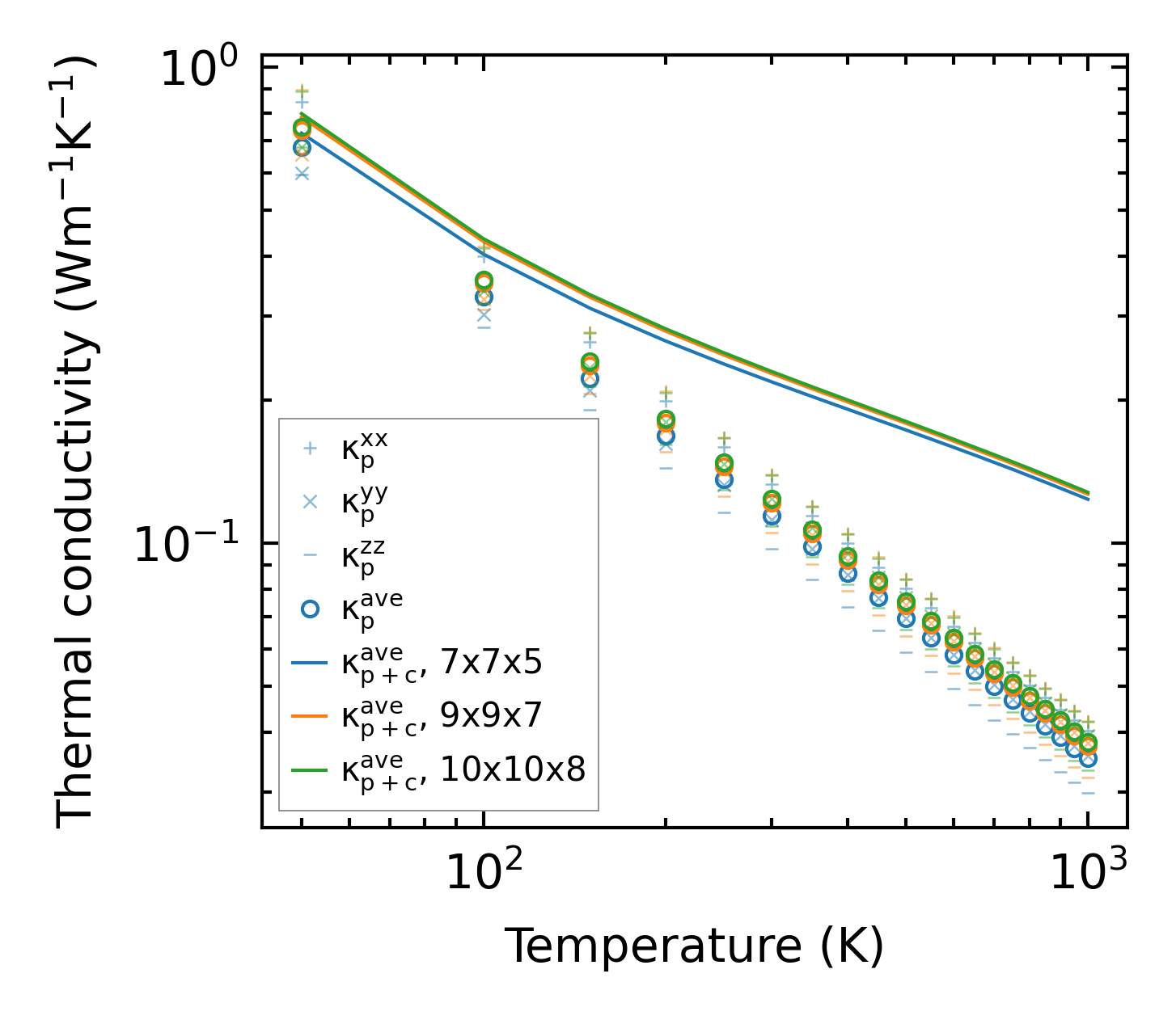
../../_images/fig_times10947.png

(b) Computation time