mp-608081/Rb3Pb4Au/anharm

Harmonic properties

../../_images/fig_bandos_pr5981.png

(a) Phonon dispersion with participation ratio and DOS

../../_images/fig_thermo5981.png

(b) Thermodynamic properties

Grüneisen parameters

../../_images/fig_gru_all2434.png

(a) Grüneisen parameters

../../_images/fig_gruneisen2434.png

(b) Phonon dispersion with Grüneisen parameters

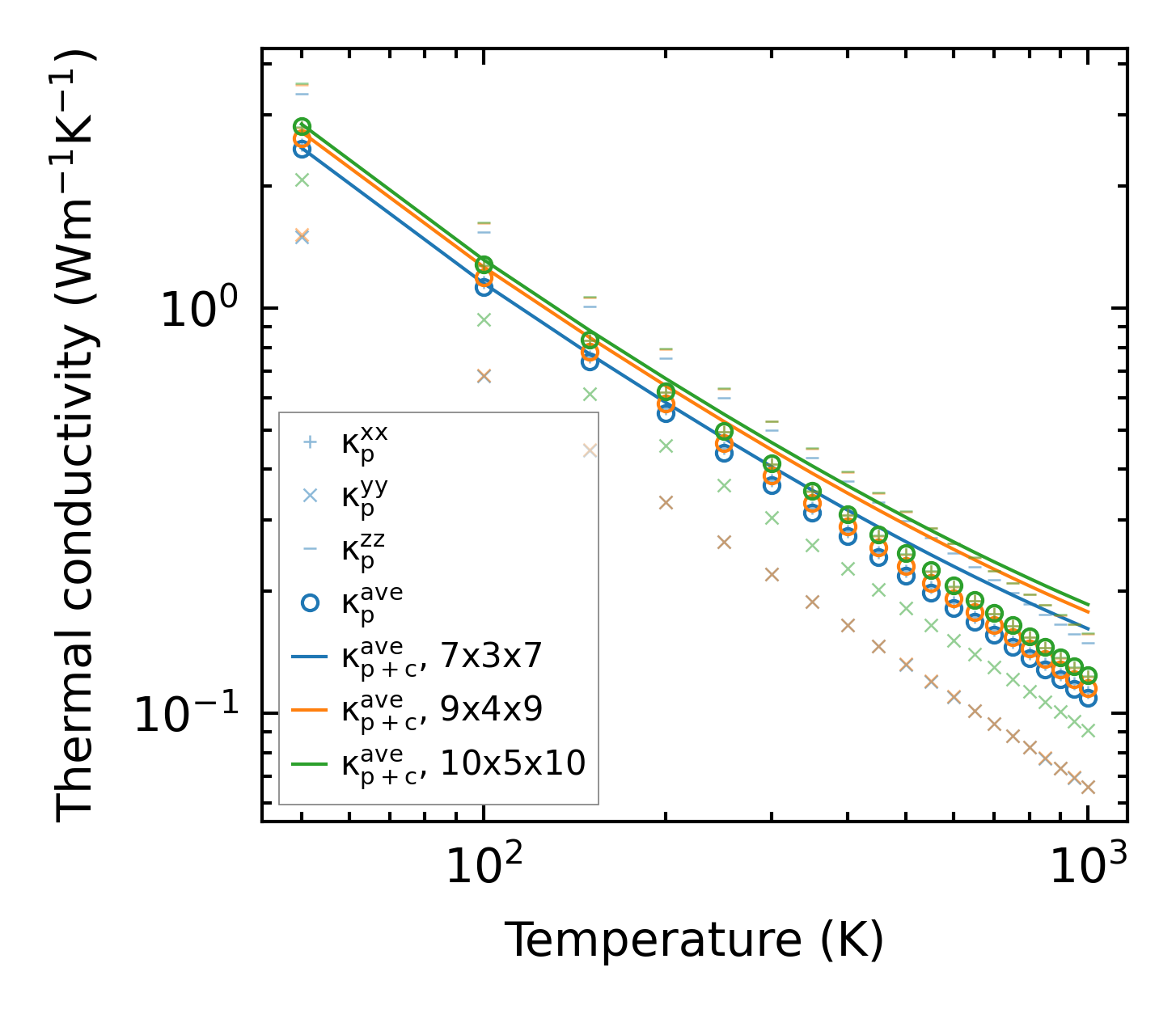
Thermal conductivity

3-phonon (LASSO) — q-mesh: 10x5x10, supercell: 3x1x3

../../_images/fig_kappa4635.png

(a) Temperature-dependent lattice thermal conductivity

../../_images/fig_kappa_vs_grain_size2465.png

(b) Peierls lattice thermal conductivity w.r.t grain size

Phonon lifetime and scattering rates

../../_images/fig_lifetime2417.png

(a) Phonon lifetime due to phonon-phonon scattering

../../_images/fig_scat_rates2416.png

(b) Phonon scattering rates

Cumulative and spectral thermal conductivity

../../_images/fig_cumu_frequency2417.png

(a) Spectral and cumulative thermal conductivity w.r.t frequency

../../_images/fig_cumu_mfp2417.png

(b) Spectral and cumulative thermal conductivity w.r.t MFP

Force constants

../../_images/fig_fc25776.png

(a) Force constants w.r.t atomic distance

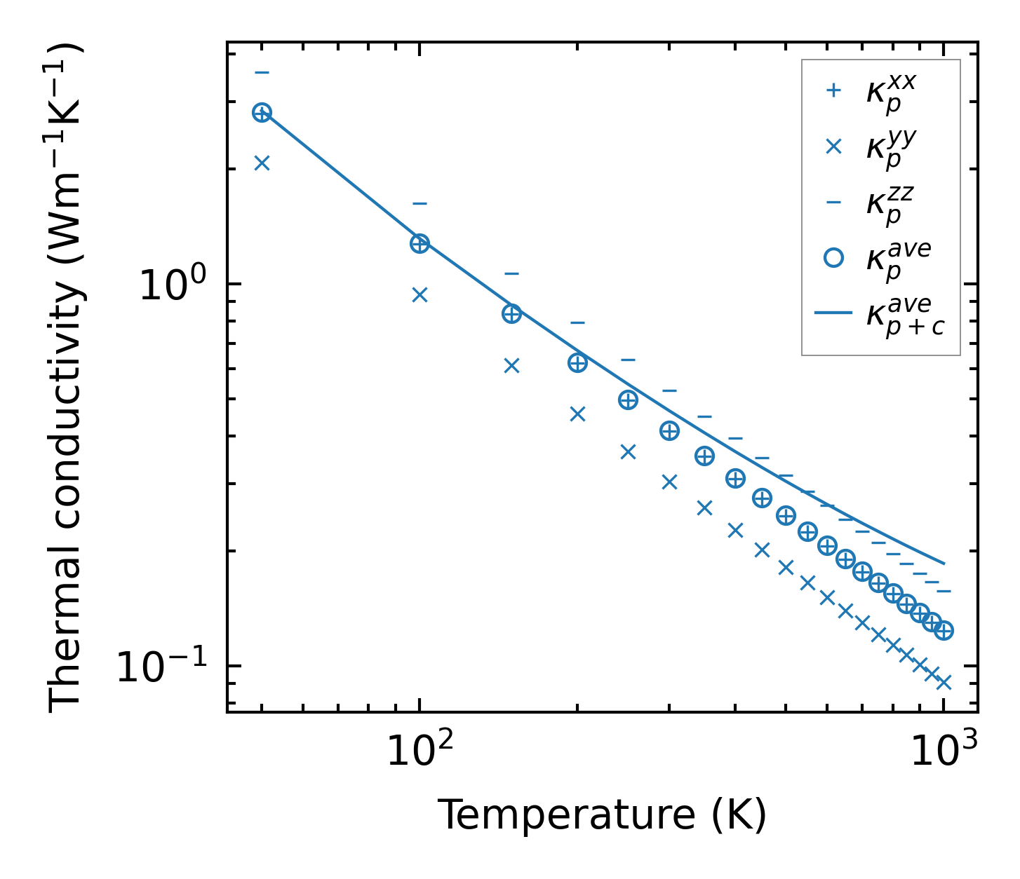
Summary

../../_images/fig_kappa4636.png

(a) Temperature-dependent lattice thermal conductivity

../../_images/fig_times10943.png

(b) Computation time