mp-600237/AgC2O2/harm

Harmonic properties

../../_images/fig_bandos_pr6578.png

(a) Phonon dispersion with participation ratio and DOS

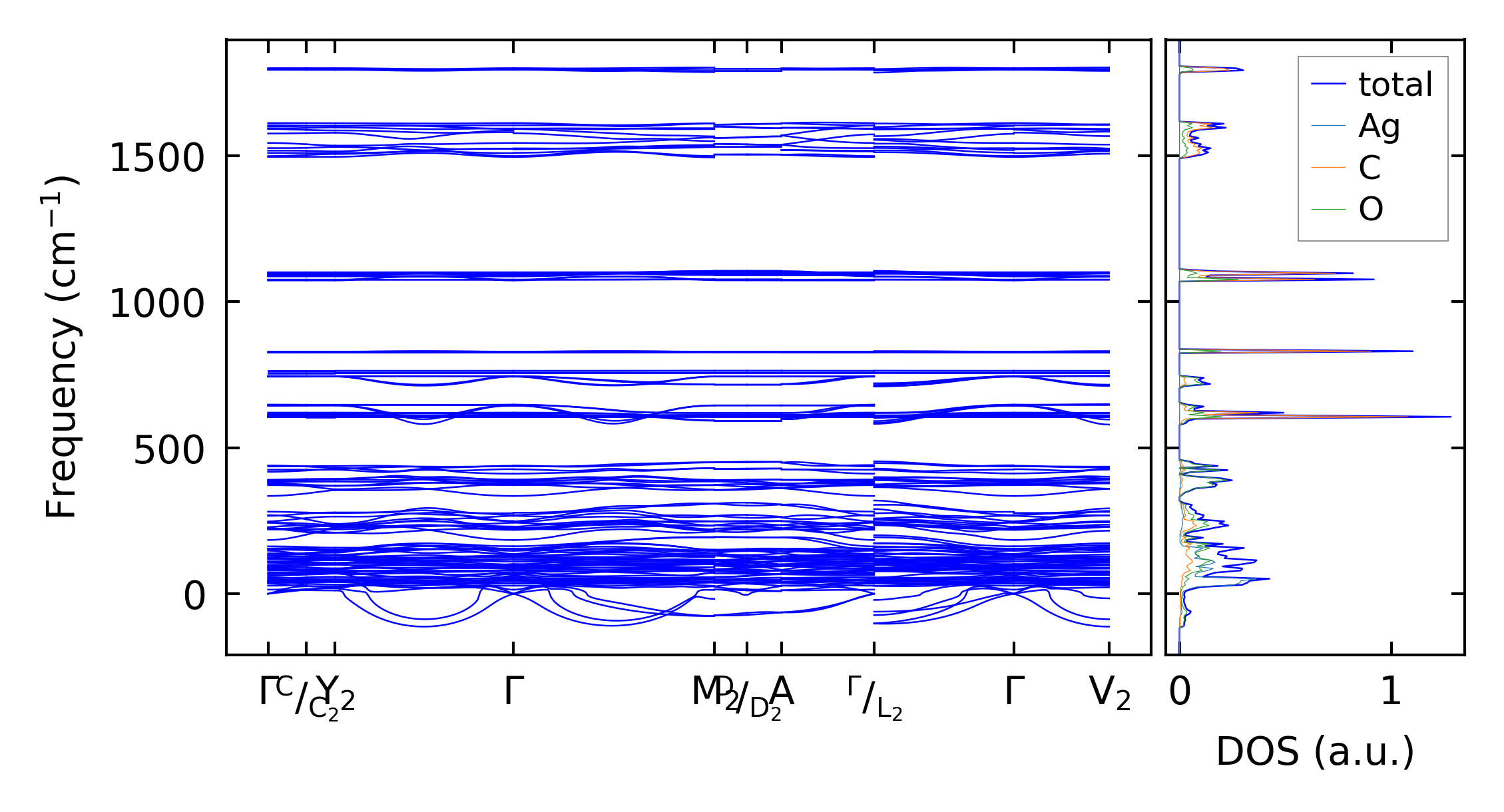
../../_images/fig_bandos9469.png

(b) Phonon dispersion and DOS

../../_images/fig_thermo6578.png

(c) Thermodynamic properties

Force constants

../../_images/fig_fc26368.png

(a) Force constants w.r.t atomic distance

Summary

../../_images/fig_times11818.png

(a) Computation time