mp-600193-2/Cs2PtC2O4F4/harm

Equation of state

../../_images/fig_bm3504.png

(a) Equation of state

Harmonic properties

../../_images/fig_bandos_pr6576.png

(a) Phonon dispersion with participation ratio and DOS

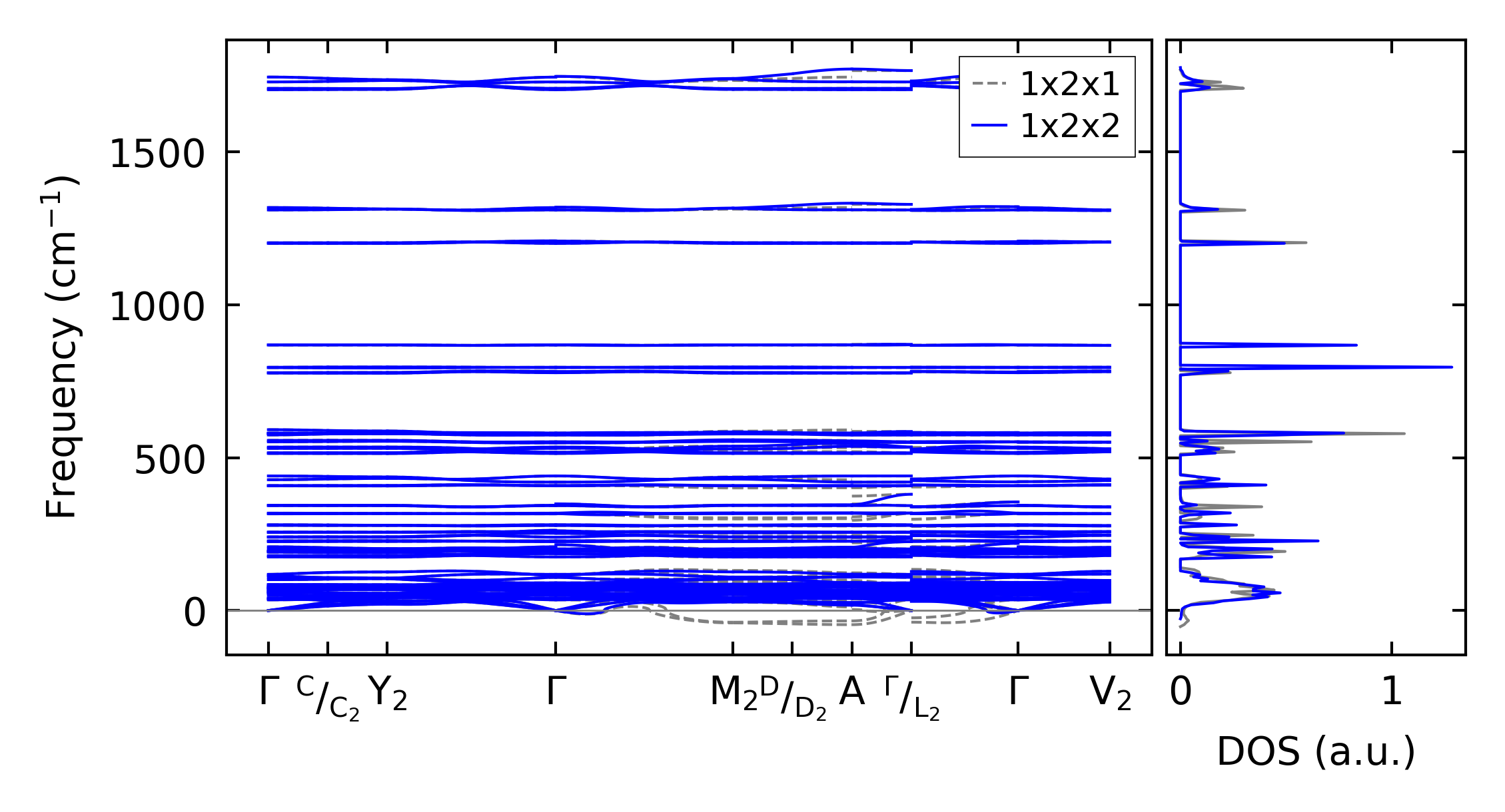
../../_images/fig_bandos9466.png

(b) Phonon dispersion and DOS

../../_images/fig_thermo6576.png

(c) Thermodynamic properties

Force constants

../../_images/fig_fc26366.png

(a) Force constants w.r.t atomic distance

Summary

../../_images/fig_times11815.png

(a) Computation time