mp-572758/ReS2/anharm

Harmonic properties

../../_images/fig_bandos9633.png

(a) Phonon dispersion and DOS

Thermal conductivity

Summary

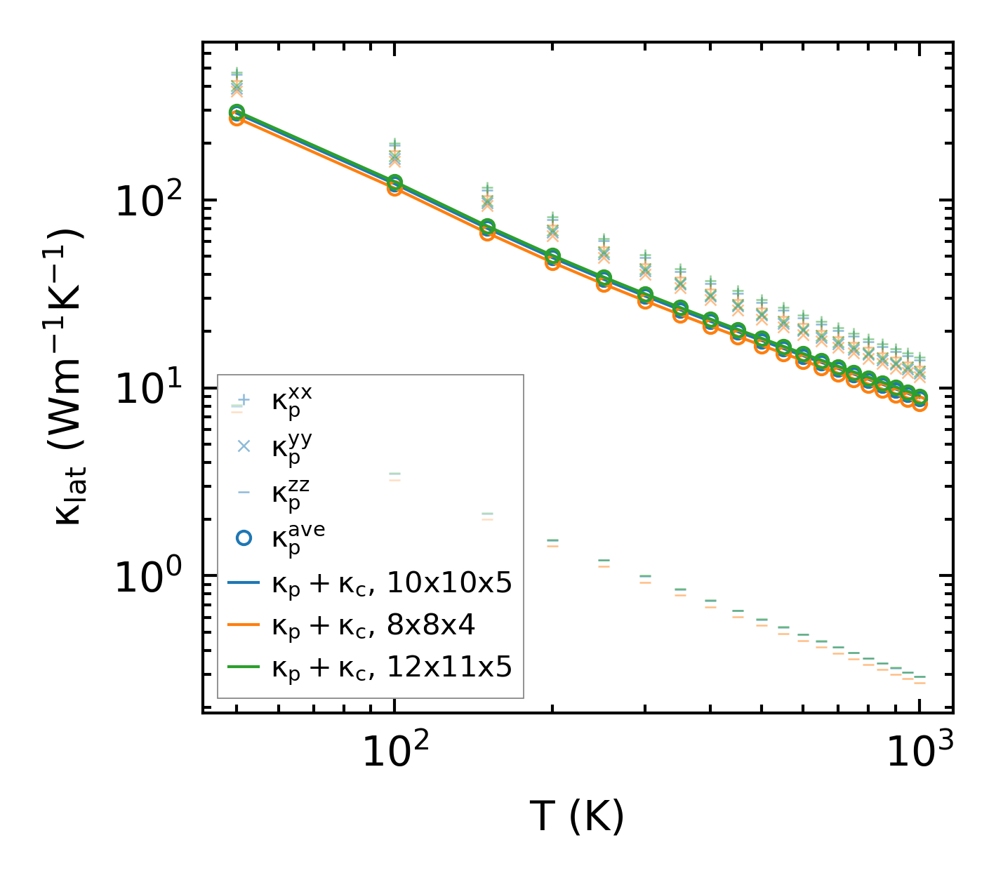
../../_images/fig_kappa5204.png

(a) Temperature-dependent lattice thermal conductivity

../../_images/fig_times12029.png

(b) Computation time