mp-572291/K3ClO/anharm

Harmonic properties

../../_images/fig_bandos_pr6690.png

(a) Phonon dispersion with participation ratio and DOS

../../_images/fig_thermo6690.png

(b) Thermodynamic properties

Grüneisen parameters

../../_images/fig_gru_all2732.png

(a) Grüneisen parameters

../../_images/fig_gruneisen2732.png

(b) Phonon dispersion with Grüneisen parameters

Thermal conductivity

3-phonon (LASSO) — q-mesh: 9x7x10, supercell: 2x1x2

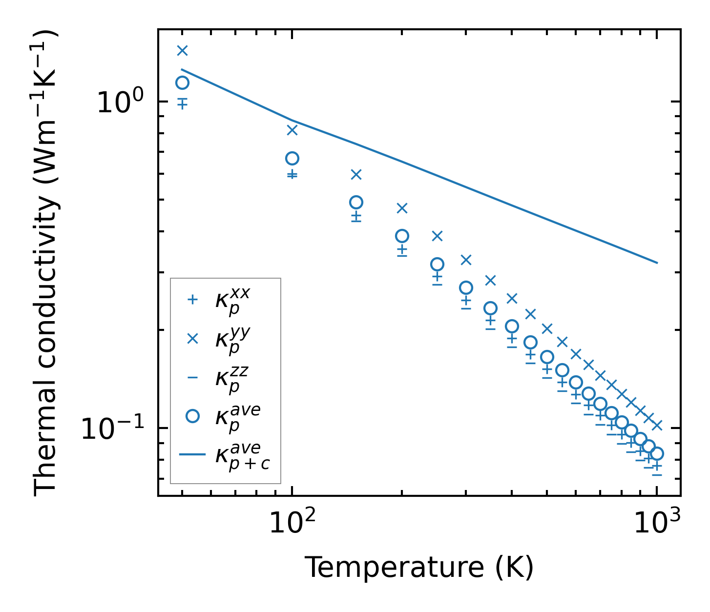
../../_images/fig_kappa5193.png

(a) Temperature-dependent lattice thermal conductivity

../../_images/fig_kappa_vs_grain_size2773.png

(b) Peierls lattice thermal conductivity w.r.t grain size

Phonon lifetime and scattering rates

../../_images/fig_lifetime2708.png

(a) Phonon lifetime due to phonon-phonon scattering

../../_images/fig_scat_rates2707.png

(b) Phonon scattering rates

Cumulative and spectral thermal conductivity

../../_images/fig_cumu_frequency2708.png

(a) Spectral and cumulative thermal conductivity w.r.t frequency

../../_images/fig_cumu_mfp2707.png

(b) Spectral and cumulative thermal conductivity w.r.t MFP

Force constants

../../_images/fig_fc26480.png

(a) Force constants w.r.t atomic distance

Summary

../../_images/fig_kappa5194.png

(a) Temperature-dependent lattice thermal conductivity

../../_images/fig_times12002.png

(b) Computation time