mp-572442/Cs3NdP2S8/anharm

Harmonic properties

../../_images/fig_bandos_pr6692.png

(a) Phonon dispersion with participation ratio and DOS

../../_images/fig_thermo6692.png

(b) Thermodynamic properties

Grüneisen parameters

../../_images/fig_gru_all2733.png

(a) Grüneisen parameters

../../_images/fig_gruneisen2733.png

(b) Phonon dispersion with Grüneisen parameters

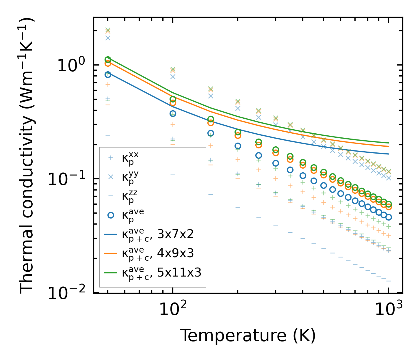
Thermal conductivity

3-phonon (LASSO) — q-mesh: 5x11x3, supercell: 1x2x1

../../_images/fig_kappa5195.png

(a) Temperature-dependent lattice thermal conductivity

../../_images/fig_kappa_vs_grain_size2774.png

(b) Peierls lattice thermal conductivity w.r.t grain size

Phonon lifetime and scattering rates

../../_images/fig_lifetime2709.png

(a) Phonon lifetime due to phonon-phonon scattering

../../_images/fig_scat_rates2708.png

(b) Phonon scattering rates

Cumulative and spectral thermal conductivity

../../_images/fig_cumu_frequency2709.png

(a) Spectral and cumulative thermal conductivity w.r.t frequency

../../_images/fig_cumu_mfp2708.png

(b) Spectral and cumulative thermal conductivity w.r.t MFP

Force constants

../../_images/fig_fc26482.png

(a) Force constants w.r.t atomic distance

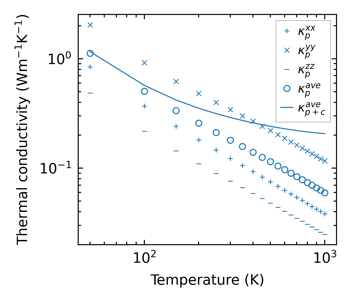
Summary

../../_images/fig_kappa5196.png

(a) Temperature-dependent lattice thermal conductivity

../../_images/fig_times12008.png

(b) Computation time