mp-1226939/Cd2TeSe/anharm

Harmonic properties

../../_images/fig_bandos_pr15097.png

(a) Phonon dispersion with participation ratio and DOS

../../_images/fig_thermo15096.png

(b) Thermodynamic properties

Grüneisen parameters

../../_images/fig_gru_all6481.png

(a) Grüneisen parameters

../../_images/fig_gruneisen6481.png

(b) Phonon dispersion with Grüneisen parameters

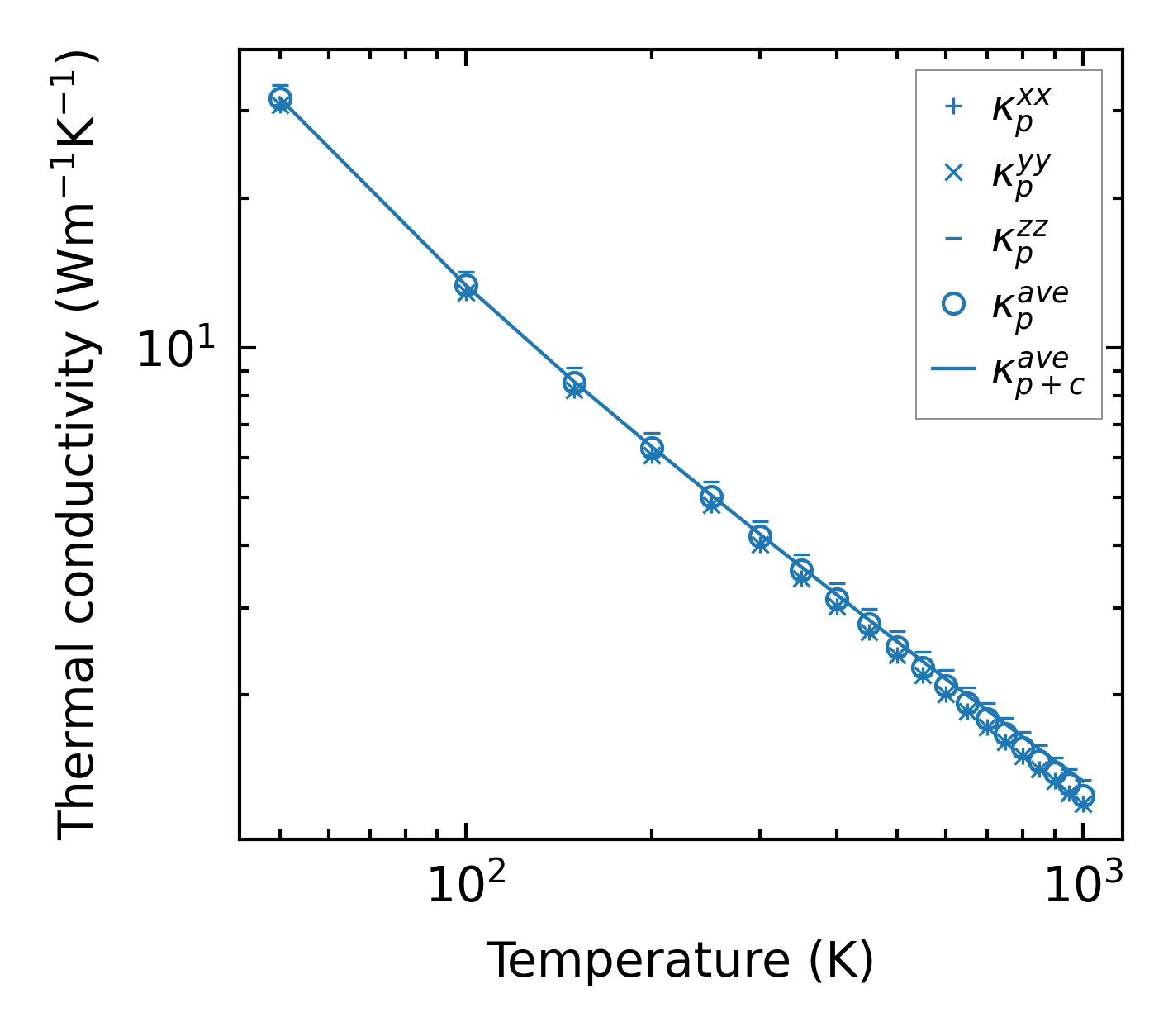
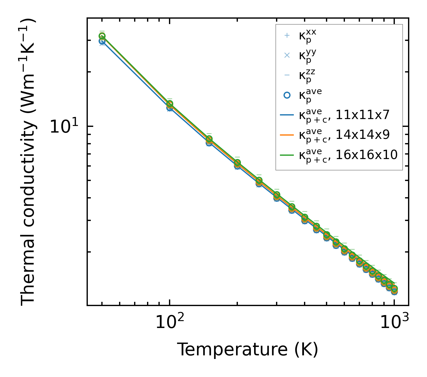
Thermal conductivity

3-phonon (LASSO) — q-mesh: 16x16x10, supercell: 4x4x2

../../_images/fig_kappa12192.png

(a) Temperature-dependent lattice thermal conductivity

../../_images/fig_kappa_vs_grain_size6558.png

(b) Peierls lattice thermal conductivity w.r.t grain size

Phonon lifetime and scattering rates

../../_images/fig_lifetime6415.png

(a) Phonon lifetime due to phonon-phonon scattering

../../_images/fig_scat_rates6414.png

(b) Phonon scattering rates

Cumulative and spectral thermal conductivity

../../_images/fig_cumu_frequency6415.png

(a) Spectral and cumulative thermal conductivity w.r.t frequency

../../_images/fig_cumu_mfp6414.png

(b) Spectral and cumulative thermal conductivity w.r.t MFP

Force constants

../../_images/fig_fc214713.png

(a) Force constants w.r.t atomic distance

Summary

../../_images/fig_kappa12193.png

(a) Temperature-dependent lattice thermal conductivity

../../_images/fig_times24986.png

(b) Computation time