mp-1226003/CoPS/anharm

Harmonic properties

../../_images/fig_bandos_pr15085.png

(a) Phonon dispersion with participation ratio and DOS

../../_images/fig_thermo15084.png

(b) Thermodynamic properties

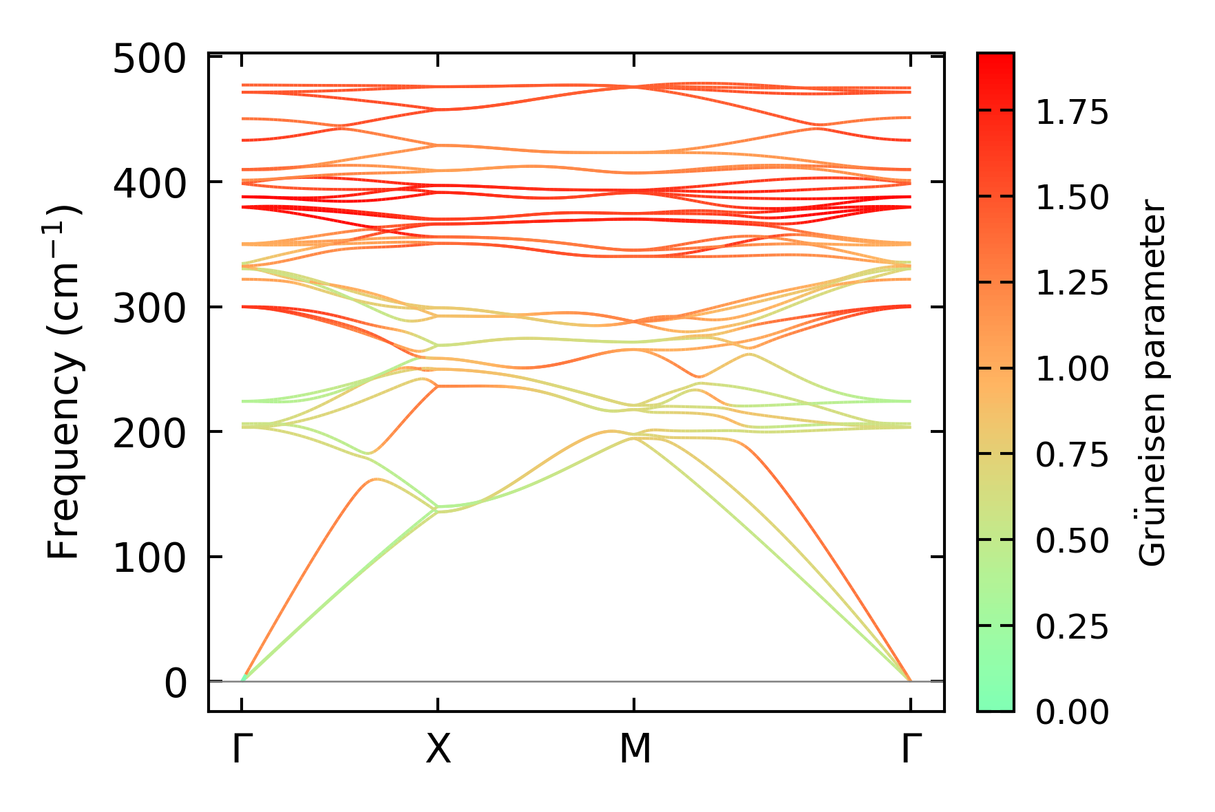
Grüneisen parameters

../../_images/fig_gru_all6478.png

(a) Grüneisen parameters

../../_images/fig_gruneisen6478.png

(b) Phonon dispersion with Grüneisen parameters

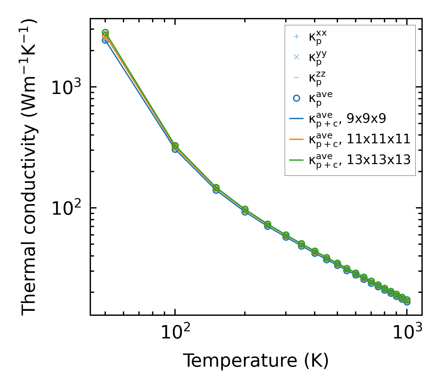
Thermal conductivity

3-phonon (LASSO) — q-mesh: 13x13x13, supercell: 2x2x2

../../_images/fig_kappa12186.png

(a) Temperature-dependent lattice thermal conductivity

../../_images/fig_kappa_vs_grain_size6555.png

(b) Peierls lattice thermal conductivity w.r.t grain size

Phonon lifetime and scattering rates

../../_images/fig_lifetime6412.png

(a) Phonon lifetime due to phonon-phonon scattering

../../_images/fig_scat_rates6411.png

(b) Phonon scattering rates

Cumulative and spectral thermal conductivity

../../_images/fig_cumu_frequency6412.png

(a) Spectral and cumulative thermal conductivity w.r.t frequency

../../_images/fig_cumu_mfp6411.png

(b) Spectral and cumulative thermal conductivity w.r.t MFP

Force constants

../../_images/fig_fc214701.png

(a) Force constants w.r.t atomic distance

Summary

../../_images/fig_kappa12187.png

(a) Temperature-dependent lattice thermal conductivity

../../_images/fig_times24963.png

(b) Computation time