mp-1226161/Cs2BrCl/anharm

Harmonic properties

../../_images/fig_bandos_pr15087.png

(a) Phonon dispersion with participation ratio and DOS

../../_images/fig_thermo15086.png

(b) Thermodynamic properties

Grüneisen parameters

../../_images/fig_gru_all6479.png

(a) Grüneisen parameters

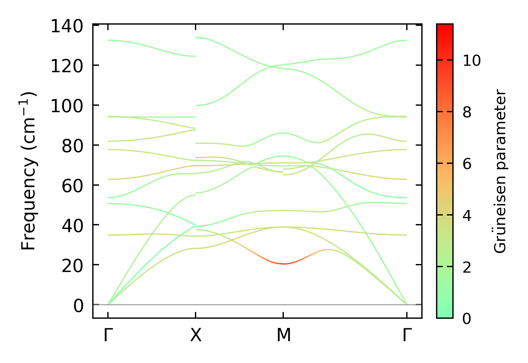
../../_images/fig_gruneisen6479.png

(b) Phonon dispersion with Grüneisen parameters

Thermal conductivity

3-phonon (LASSO) — q-mesh: 12x12x17, supercell: 3x3x4

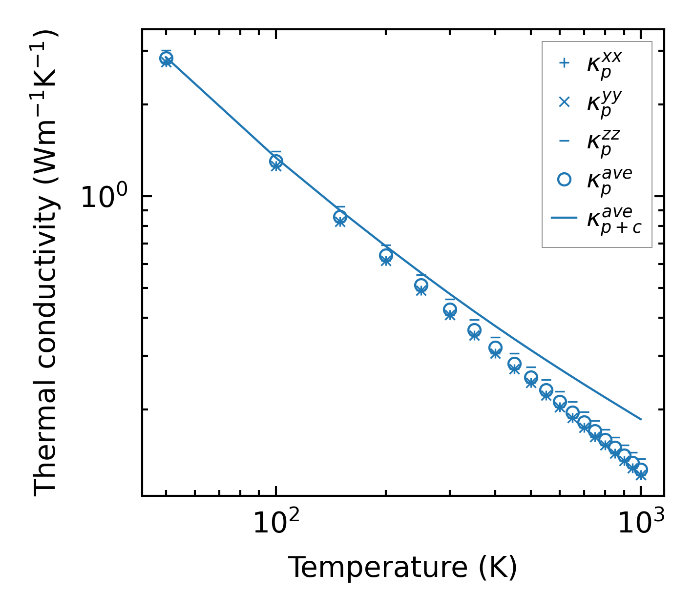
../../_images/fig_kappa12188.png

(a) Temperature-dependent lattice thermal conductivity

../../_images/fig_kappa_vs_grain_size6556.png

(b) Peierls lattice thermal conductivity w.r.t grain size

Phonon lifetime and scattering rates

../../_images/fig_lifetime6413.png

(a) Phonon lifetime due to phonon-phonon scattering

../../_images/fig_scat_rates6412.png

(b) Phonon scattering rates

Cumulative and spectral thermal conductivity

../../_images/fig_cumu_frequency6413.png

(a) Spectral and cumulative thermal conductivity w.r.t frequency

../../_images/fig_cumu_mfp6412.png

(b) Spectral and cumulative thermal conductivity w.r.t MFP

Force constants

../../_images/fig_fc214703.png

(a) Force constants w.r.t atomic distance

Summary

../../_images/fig_kappa12189.png

(a) Temperature-dependent lattice thermal conductivity

../../_images/fig_times24965.png

(b) Computation time