mp-1222704/LaZnAgP2/anharm

Harmonic properties

../../_images/fig_bandos_pr15324.png

(a) Phonon dispersion with participation ratio and DOS

../../_images/fig_thermo15323.png

(b) Thermodynamic properties

Grüneisen parameters

../../_images/fig_gru_all6622.png

(a) Grüneisen parameters

../../_images/fig_gruneisen6622.png

(b) Phonon dispersion with Grüneisen parameters

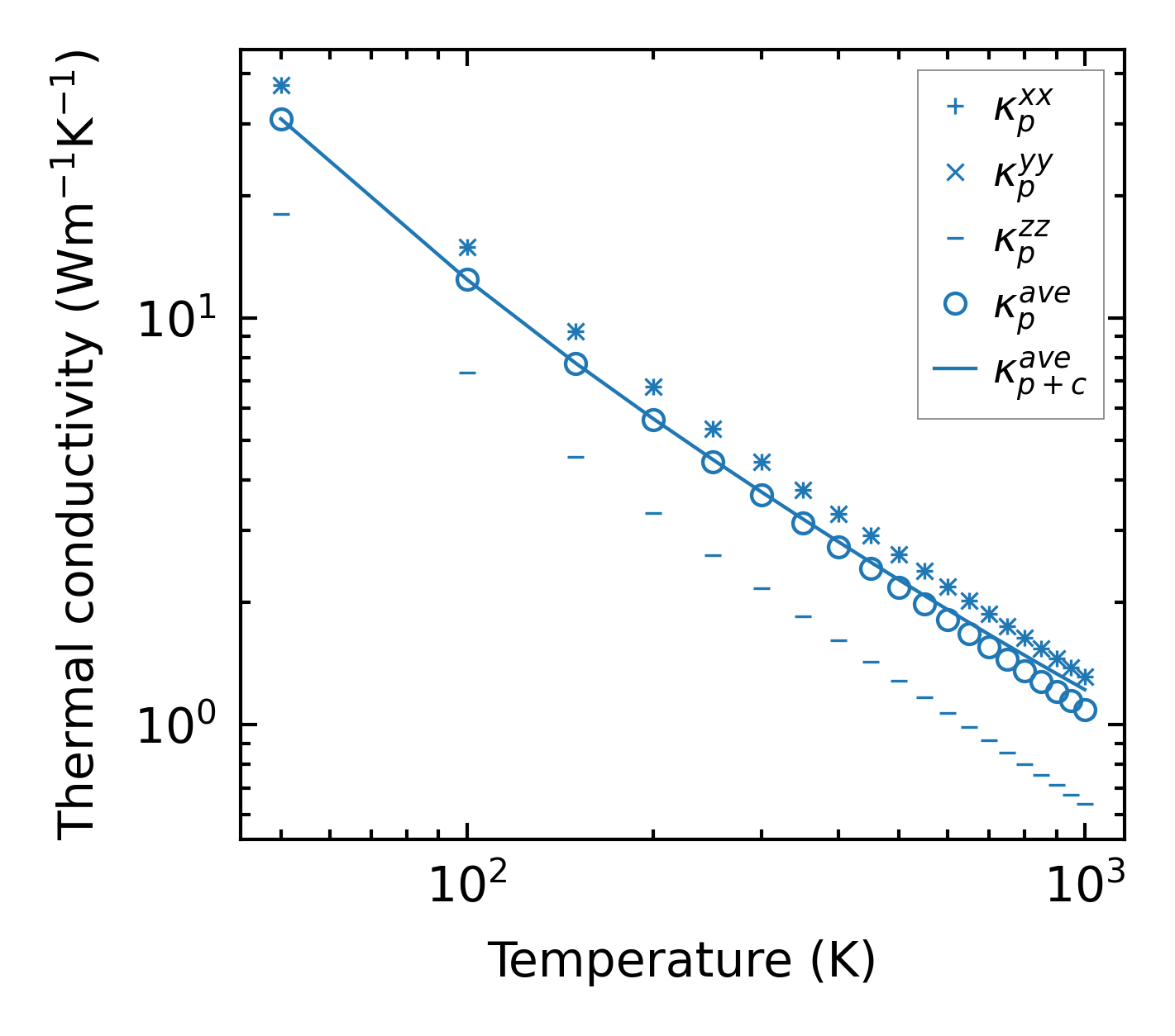
Thermal conductivity

3-phonon (LASSO) — q-mesh: 18x18x11, supercell: 3x3x2

../../_images/fig_kappa12468.png

(a) Temperature-dependent lattice thermal conductivity

../../_images/fig_kappa_vs_grain_size6700.png

(b) Peierls lattice thermal conductivity w.r.t grain size

Phonon lifetime and scattering rates

../../_images/fig_lifetime6556.png

(a) Phonon lifetime due to phonon-phonon scattering

../../_images/fig_scat_rates6555.png

(b) Phonon scattering rates

Cumulative and spectral thermal conductivity

../../_images/fig_cumu_frequency6556.png

(a) Spectral and cumulative thermal conductivity w.r.t frequency

../../_images/fig_cumu_mfp6555.png

(b) Spectral and cumulative thermal conductivity w.r.t MFP

Force constants

../../_images/fig_fc214930.png

(a) Force constants w.r.t atomic distance

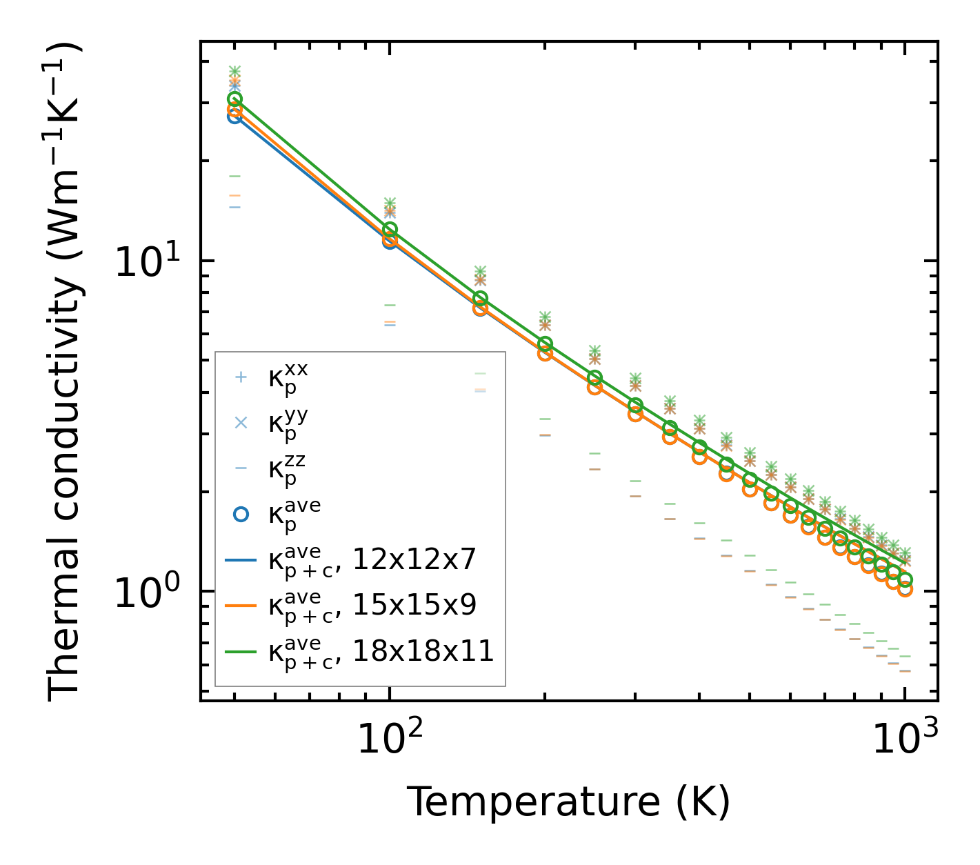
Summary

../../_images/fig_kappa12469.png

(a) Temperature-dependent lattice thermal conductivity

../../_images/fig_times25349.png

(b) Computation time