mp-1222293/LuBiTe3/anharm

Harmonic properties

../../_images/fig_bandos_pr15322.png

(a) Phonon dispersion with participation ratio and DOS

../../_images/fig_thermo15321.png

(b) Thermodynamic properties

Grüneisen parameters

../../_images/fig_gru_all6621.png

(a) Grüneisen parameters

../../_images/fig_gruneisen6621.png

(b) Phonon dispersion with Grüneisen parameters

Thermal conductivity

3-phonon (LASSO) — q-mesh: 13x13x13, supercell: 3x3x1

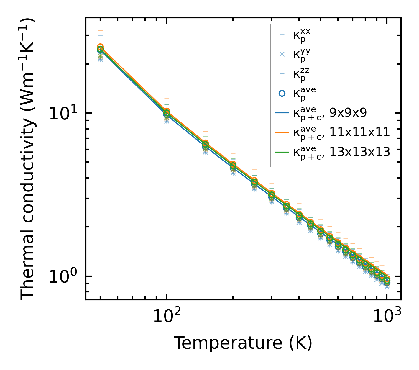
../../_images/fig_kappa12466.png

(a) Temperature-dependent lattice thermal conductivity

../../_images/fig_kappa_vs_grain_size6699.png

(b) Peierls lattice thermal conductivity w.r.t grain size

Phonon lifetime and scattering rates

../../_images/fig_lifetime6555.png

(a) Phonon lifetime due to phonon-phonon scattering

../../_images/fig_scat_rates6554.png

(b) Phonon scattering rates

Cumulative and spectral thermal conductivity

../../_images/fig_cumu_frequency6555.png

(a) Spectral and cumulative thermal conductivity w.r.t frequency

../../_images/fig_cumu_mfp6554.png

(b) Spectral and cumulative thermal conductivity w.r.t MFP

Force constants

../../_images/fig_fc214928.png

(a) Force constants w.r.t atomic distance

Summary

../../_images/fig_kappa12467.png

(a) Temperature-dependent lattice thermal conductivity

../../_images/fig_times25347.png

(b) Computation time