mp-1221485/Mo2SeS3/anharm

Harmonic properties

../../_images/fig_bandos_pr15318.png

(a) Phonon dispersion with participation ratio and DOS

../../_images/fig_thermo15317.png

(b) Thermodynamic properties

Grüneisen parameters

../../_images/fig_gru_all6617.png

(a) Grüneisen parameters

../../_images/fig_gruneisen6617.png

(b) Phonon dispersion with Grüneisen parameters

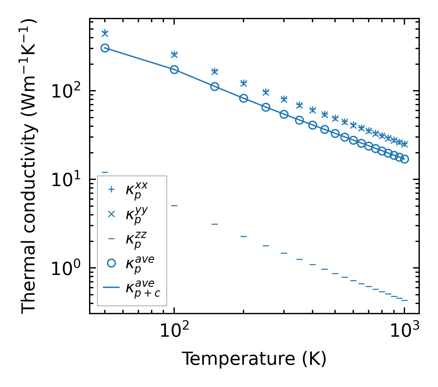
Thermal conductivity

3-phonon (LASSO) — q-mesh: 23x23x6, supercell: 3x4x1

../../_images/fig_kappa12458.png

(a) Temperature-dependent lattice thermal conductivity

../../_images/fig_kappa_vs_grain_size6695.png

(b) Peierls lattice thermal conductivity w.r.t grain size

Phonon lifetime and scattering rates

../../_images/fig_lifetime6551.png

(a) Phonon lifetime due to phonon-phonon scattering

../../_images/fig_scat_rates6550.png

(b) Phonon scattering rates

Cumulative and spectral thermal conductivity

../../_images/fig_cumu_frequency6551.png

(a) Spectral and cumulative thermal conductivity w.r.t frequency

../../_images/fig_cumu_mfp6550.png

(b) Spectral and cumulative thermal conductivity w.r.t MFP

Force constants

../../_images/fig_fc214924.png

(a) Force constants w.r.t atomic distance

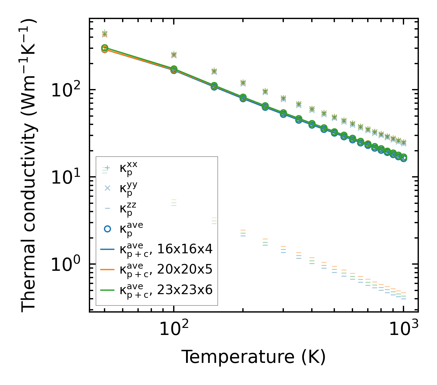
Summary

../../_images/fig_kappa12459.png

(a) Temperature-dependent lattice thermal conductivity

../../_images/fig_times25343.png

(b) Computation time