mp-1221436/MoCl6/anharm

Harmonic properties

../../_images/fig_bandos_pr15317.png

(a) Phonon dispersion with participation ratio and DOS

../../_images/fig_thermo15316.png

(b) Thermodynamic properties

Grüneisen parameters

../../_images/fig_gru_all6616.png

(a) Grüneisen parameters

../../_images/fig_gruneisen6616.png

(b) Phonon dispersion with Grüneisen parameters

Thermal conductivity

3-phonon (LASSO) — q-mesh: 12x12x13, supercell: 2x2x3

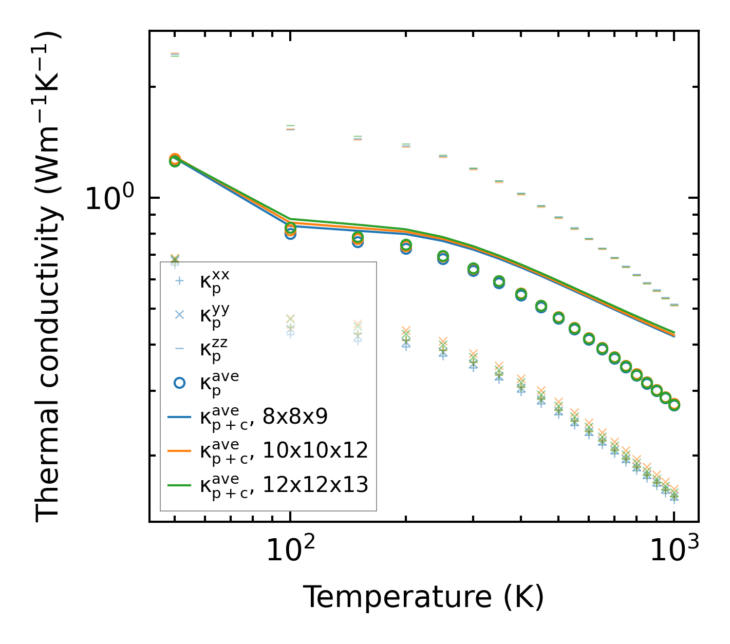
../../_images/fig_kappa12456.png

(a) Temperature-dependent lattice thermal conductivity

../../_images/fig_kappa_vs_grain_size6694.png

(b) Peierls lattice thermal conductivity w.r.t grain size

Phonon lifetime and scattering rates

../../_images/fig_lifetime6550.png

(a) Phonon lifetime due to phonon-phonon scattering

../../_images/fig_scat_rates6549.png

(b) Phonon scattering rates

Cumulative and spectral thermal conductivity

../../_images/fig_cumu_frequency6550.png

(a) Spectral and cumulative thermal conductivity w.r.t frequency

../../_images/fig_cumu_mfp6549.png

(b) Spectral and cumulative thermal conductivity w.r.t MFP

Force constants

../../_images/fig_fc214923.png

(a) Force constants w.r.t atomic distance

Summary

../../_images/fig_kappa12457.png

(a) Temperature-dependent lattice thermal conductivity

../../_images/fig_times25342.png

(b) Computation time