mp-1216536/TmPaO4/anharm

Harmonic properties

../../_images/fig_bandos_pr15204.png

(a) Phonon dispersion with participation ratio and DOS

../../_images/fig_thermo15203.png

(b) Thermodynamic properties

Grüneisen parameters

../../_images/fig_gru_all6542.png

(a) Grüneisen parameters

../../_images/fig_gruneisen6542.png

(b) Phonon dispersion with Grüneisen parameters

Thermal conductivity

3-phonon (LASSO) — q-mesh: 19x19x13, supercell: 3x3x2

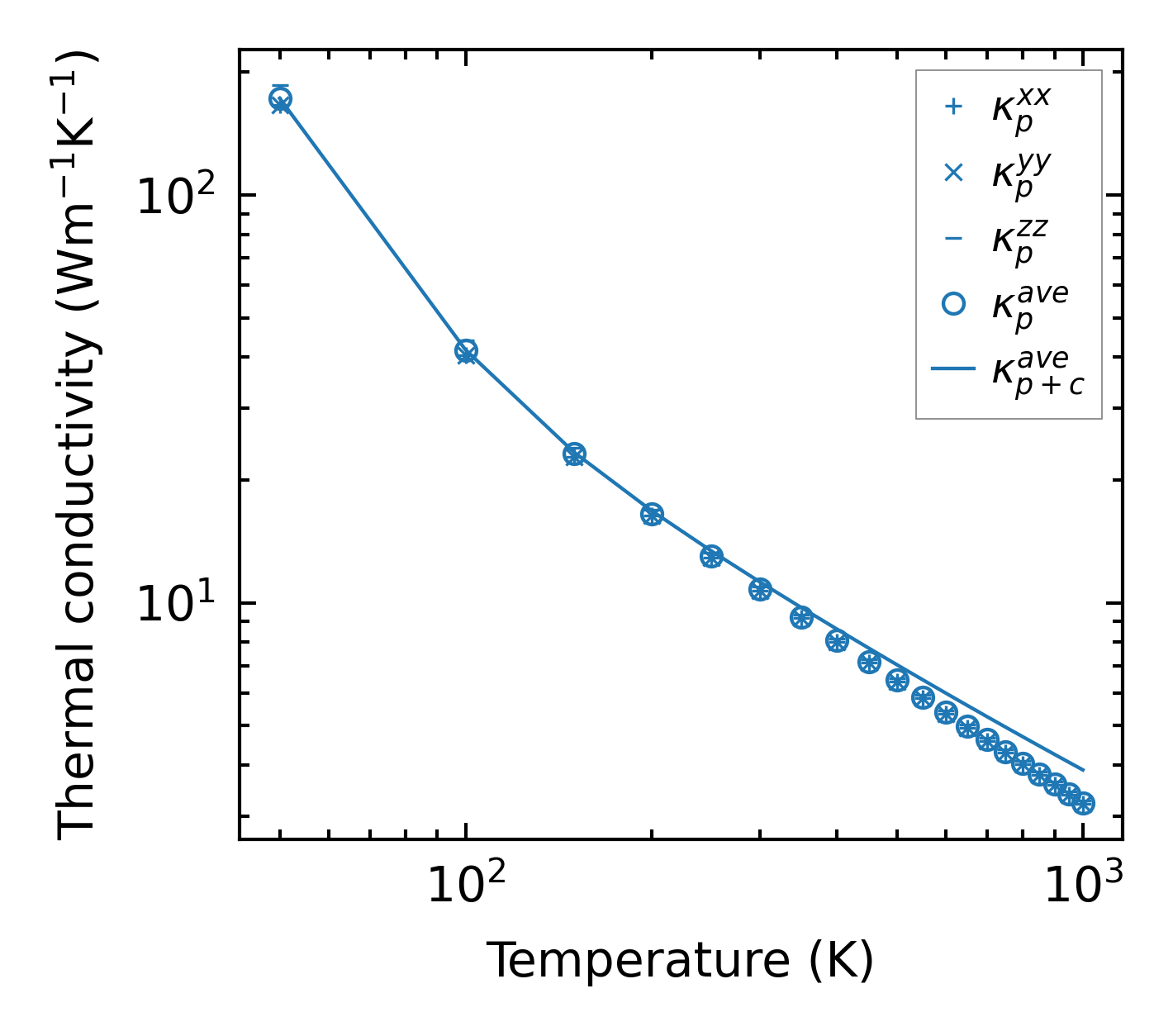
../../_images/fig_kappa12311.png

(a) Temperature-dependent lattice thermal conductivity

../../_images/fig_kappa_vs_grain_size6619.png

(b) Peierls lattice thermal conductivity w.r.t grain size

Phonon lifetime and scattering rates

../../_images/fig_lifetime6476.png

(a) Phonon lifetime due to phonon-phonon scattering

../../_images/fig_scat_rates6475.png

(b) Phonon scattering rates

Cumulative and spectral thermal conductivity

../../_images/fig_cumu_frequency6476.png

(a) Spectral and cumulative thermal conductivity w.r.t frequency

../../_images/fig_cumu_mfp6475.png

(b) Spectral and cumulative thermal conductivity w.r.t MFP

Force constants

../../_images/fig_fc214816.png

(a) Force constants w.r.t atomic distance

Summary

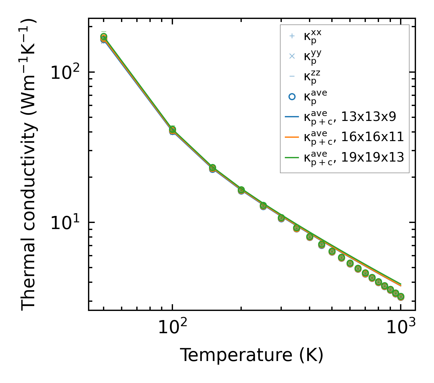
../../_images/fig_kappa12312.png

(a) Temperature-dependent lattice thermal conductivity

../../_images/fig_times25160.png

(b) Computation time