mp-1216069-2/Y3ScN4/anharm

Equation of state

../../_images/fig_bm7551.png

(a) Equation of state

Harmonic properties

../../_images/fig_bandos_pr15199.png

(a) Phonon dispersion with participation ratio and DOS

../../_images/fig_bandos19577.png

(b) Phonon dispersion and DOS

../../_images/fig_thermo15198.png

(c) Thermodynamic properties

Grüneisen parameters

../../_images/fig_gru_all6538.png

(a) Grüneisen parameters

../../_images/fig_gruneisen6538.png

(b) Phonon dispersion with Grüneisen parameters

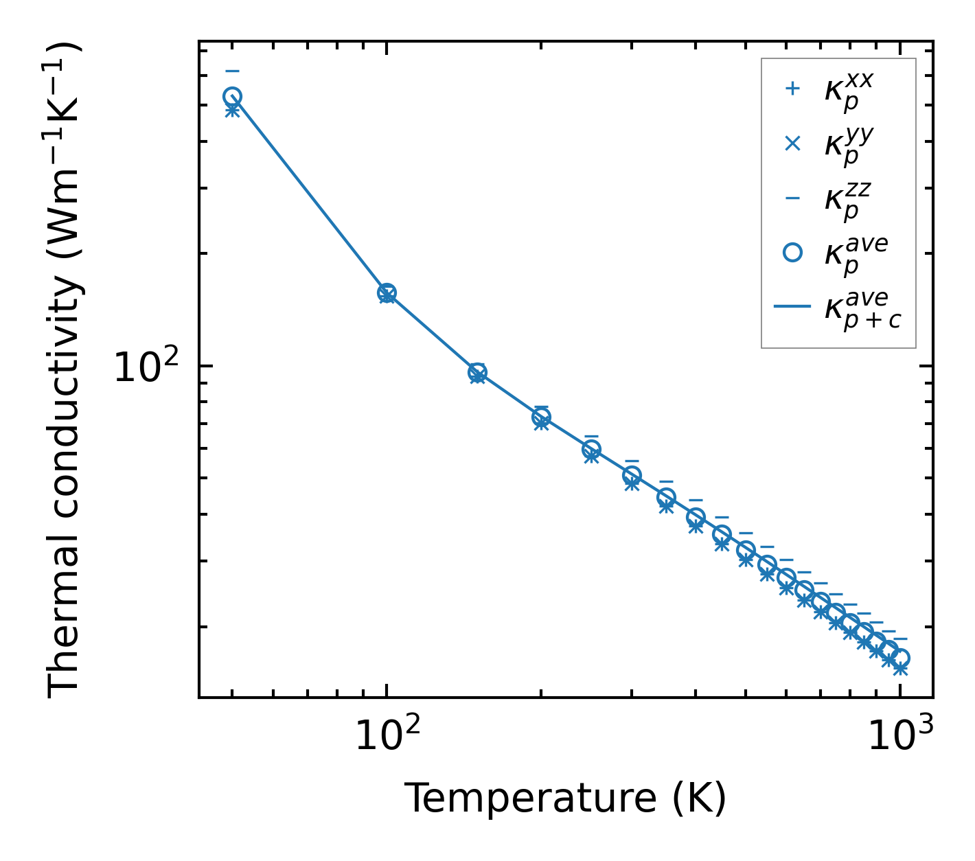
Thermal conductivity

3-phonon (LASSO), supercell 3x3x1 — q-mesh: 15x15x15, supercell: 3x3x1

../../_images/fig_kappa12304.png

(a) Temperature-dependent lattice thermal conductivity

../../_images/fig_kappa_vs_grain_size6615.png

(b) Peierls lattice thermal conductivity w.r.t grain size

Phonon lifetime and scattering rates

../../_images/fig_lifetime6472.png

(a) Phonon lifetime due to phonon-phonon scattering

../../_images/fig_scat_rates6471.png

(b) Phonon scattering rates

Cumulative and spectral thermal conductivity

../../_images/fig_cumu_frequency6472.png

(a) Spectral and cumulative thermal conductivity w.r.t frequency

../../_images/fig_cumu_mfp6471.png

(b) Spectral and cumulative thermal conductivity w.r.t MFP

Force constants

../../_images/fig_fc214811.png

(a) Force constants w.r.t atomic distance

Summary

../../_images/fig_times25153.png

(a) Computation time