mp-1195277/Na2Mo2Se2O11/harm

Harmonic properties

../../_images/fig_bandos_pr15525.png

(a) Phonon dispersion with participation ratio and DOS

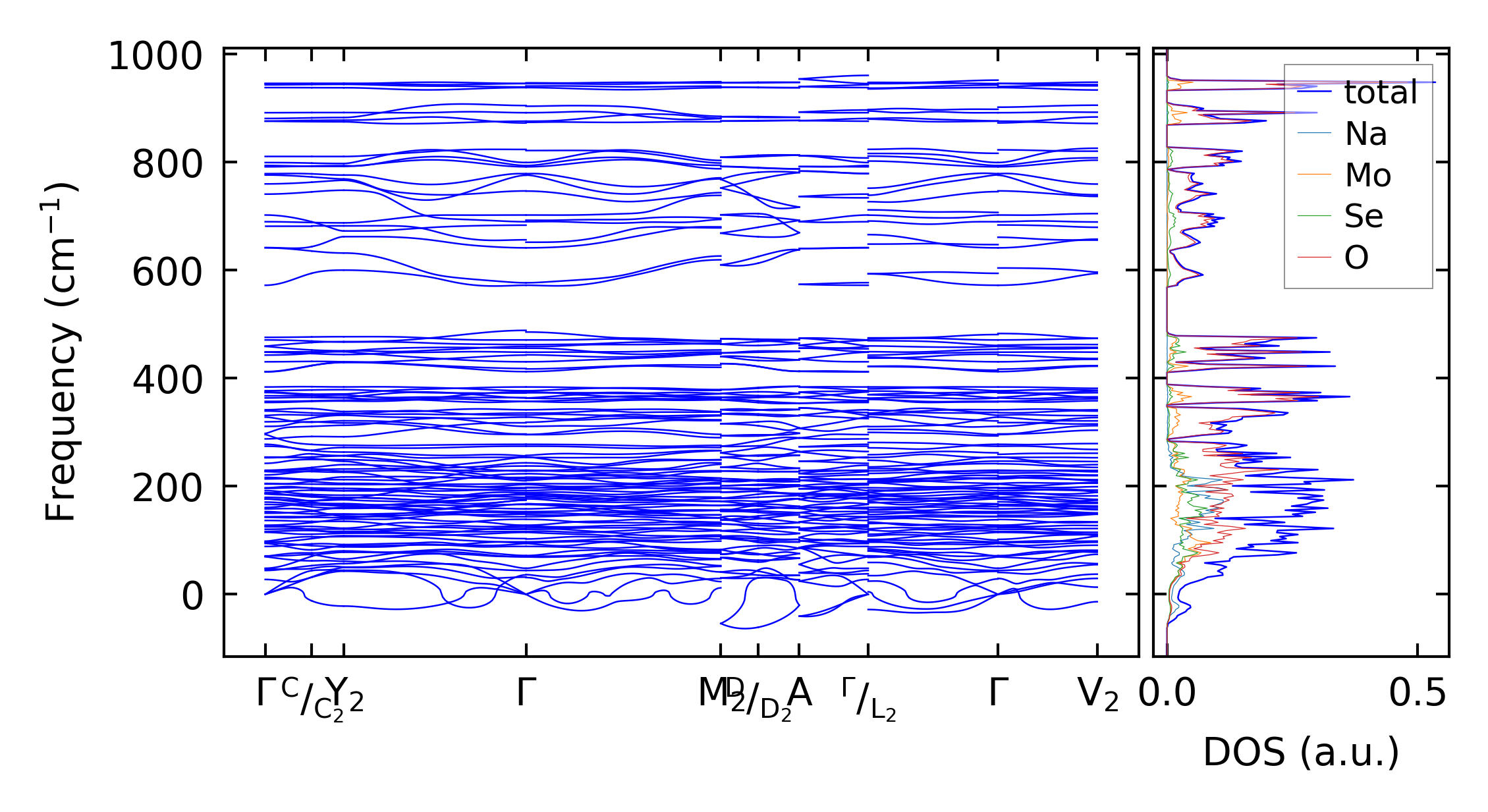
../../_images/fig_bandos19912.png

(b) Phonon dispersion and DOS

../../_images/fig_thermo15524.png

(c) Thermodynamic properties

Force constants

../../_images/fig_fc215120.png

(a) Force constants w.r.t atomic distance

Summary

../../_images/fig_times25654.png

(a) Computation time