mp-1195028-2/Na2Lu2B2TeO10/anharm

Harmonic properties

../../_images/fig_bandos_pr15522.png

(a) Phonon dispersion with participation ratio and DOS

../../_images/fig_thermo15521.png

(b) Thermodynamic properties

Grüneisen parameters

../../_images/fig_gru_all6723.png

(a) Grüneisen parameters

../../_images/fig_gruneisen6723.png

(b) Phonon dispersion with Grüneisen parameters

Thermal conductivity

3-phonon (LASSO) — q-mesh: 11x7x10, supercell: 2x1x2

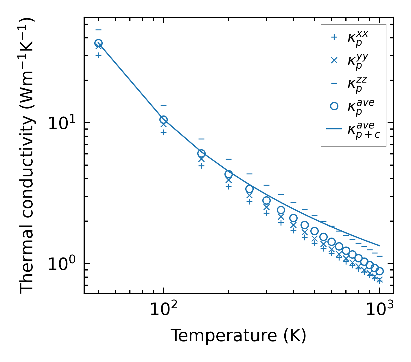
../../_images/fig_kappa12659.png

(a) Temperature-dependent lattice thermal conductivity

../../_images/fig_kappa_vs_grain_size6802.png

(b) Peierls lattice thermal conductivity w.r.t grain size

Phonon lifetime and scattering rates

../../_images/fig_lifetime6657.png

(a) Phonon lifetime due to phonon-phonon scattering

../../_images/fig_scat_rates6656.png

(b) Phonon scattering rates

Cumulative and spectral thermal conductivity

../../_images/fig_cumu_frequency6657.png

(a) Spectral and cumulative thermal conductivity w.r.t frequency

../../_images/fig_cumu_mfp6656.png

(b) Spectral and cumulative thermal conductivity w.r.t MFP

Force constants

../../_images/fig_fc215117.png

(a) Force constants w.r.t atomic distance

Summary

../../_images/fig_kappa12660.png

(a) Temperature-dependent lattice thermal conductivity

../../_images/fig_times25650.png

(b) Computation time