mp-1195050/SnIr2Se5/anharm

Harmonic properties

../../_images/fig_bandos_pr15523.png

(a) Phonon dispersion with participation ratio and DOS

../../_images/fig_thermo15522.png

(b) Thermodynamic properties

Grüneisen parameters

../../_images/fig_gru_all6724.png

(a) Grüneisen parameters

../../_images/fig_gruneisen6724.png

(b) Phonon dispersion with Grüneisen parameters

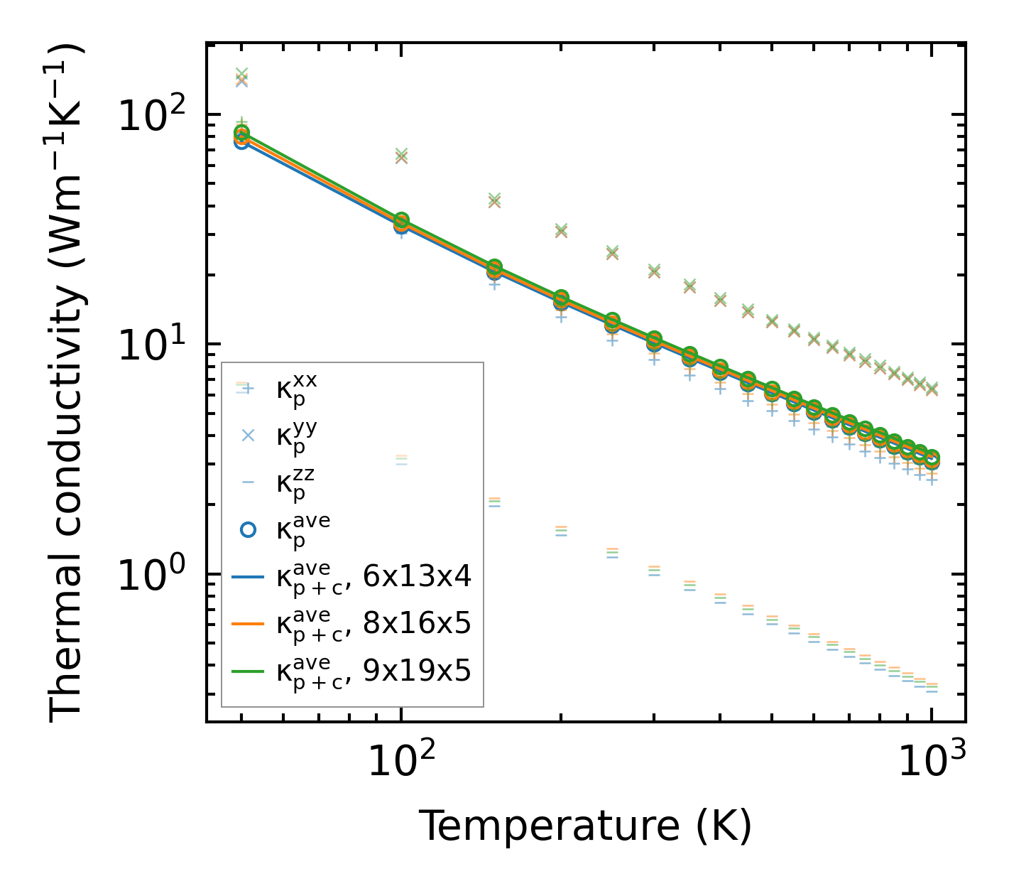
Thermal conductivity

3-phonon (LASSO) — q-mesh: 9x19x5, supercell: 2x4x1

../../_images/fig_kappa12661.png

(a) Temperature-dependent lattice thermal conductivity

../../_images/fig_kappa_vs_grain_size6803.png

(b) Peierls lattice thermal conductivity w.r.t grain size

Phonon lifetime and scattering rates

../../_images/fig_lifetime6658.png

(a) Phonon lifetime due to phonon-phonon scattering

../../_images/fig_scat_rates6657.png

(b) Phonon scattering rates

Cumulative and spectral thermal conductivity

../../_images/fig_cumu_frequency6658.png

(a) Spectral and cumulative thermal conductivity w.r.t frequency

../../_images/fig_cumu_mfp6657.png

(b) Spectral and cumulative thermal conductivity w.r.t MFP

Force constants

../../_images/fig_fc215118.png

(a) Force constants w.r.t atomic distance

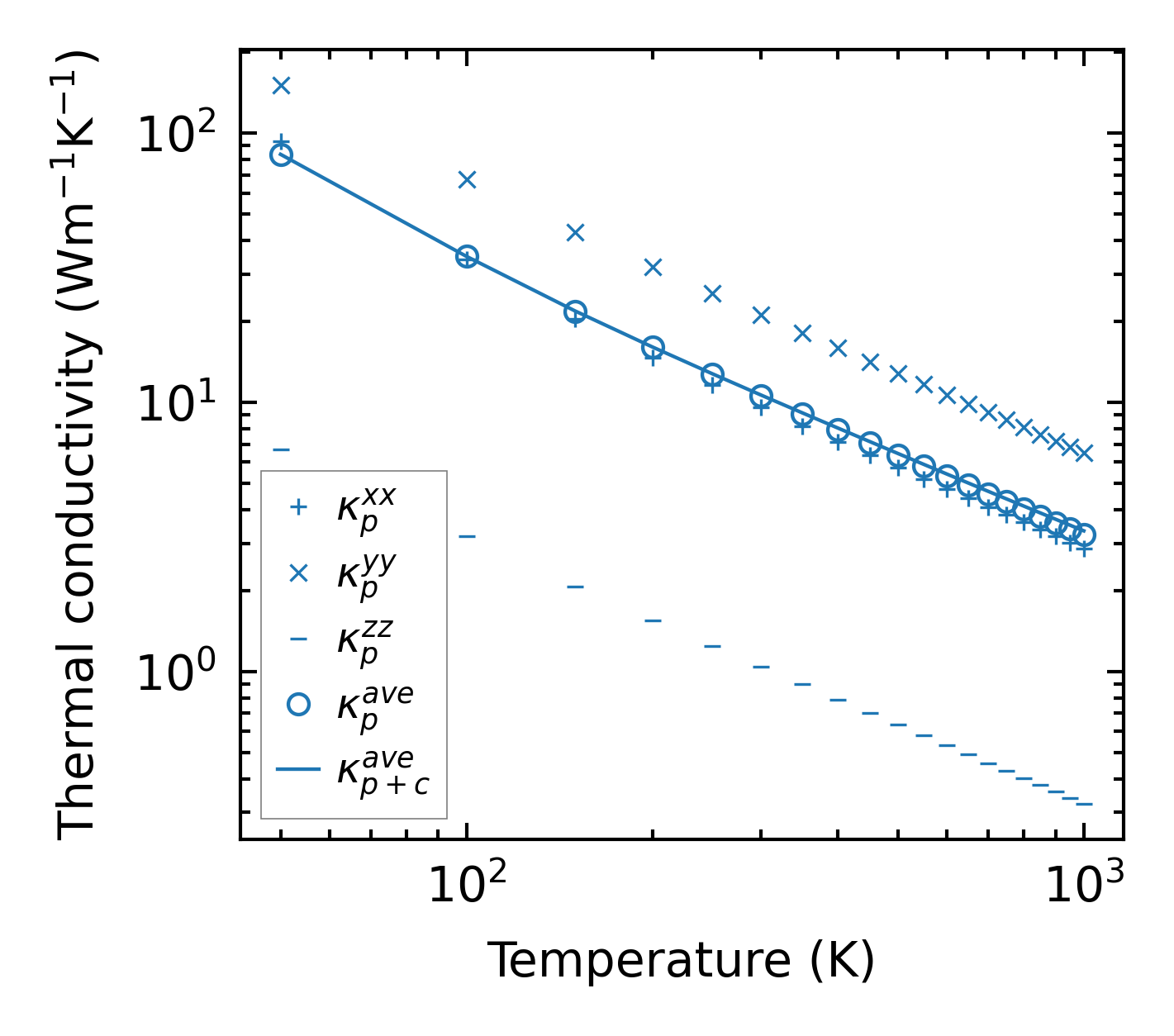
Summary

../../_images/fig_kappa12662.png

(a) Temperature-dependent lattice thermal conductivity

../../_images/fig_times25651.png

(b) Computation time