mp-1178141/KDyO2/anharm

Harmonic properties

../../_images/fig_bandos_pr16104.png

(a) Phonon dispersion with participation ratio and DOS

../../_images/fig_thermo16103.png

(b) Thermodynamic properties

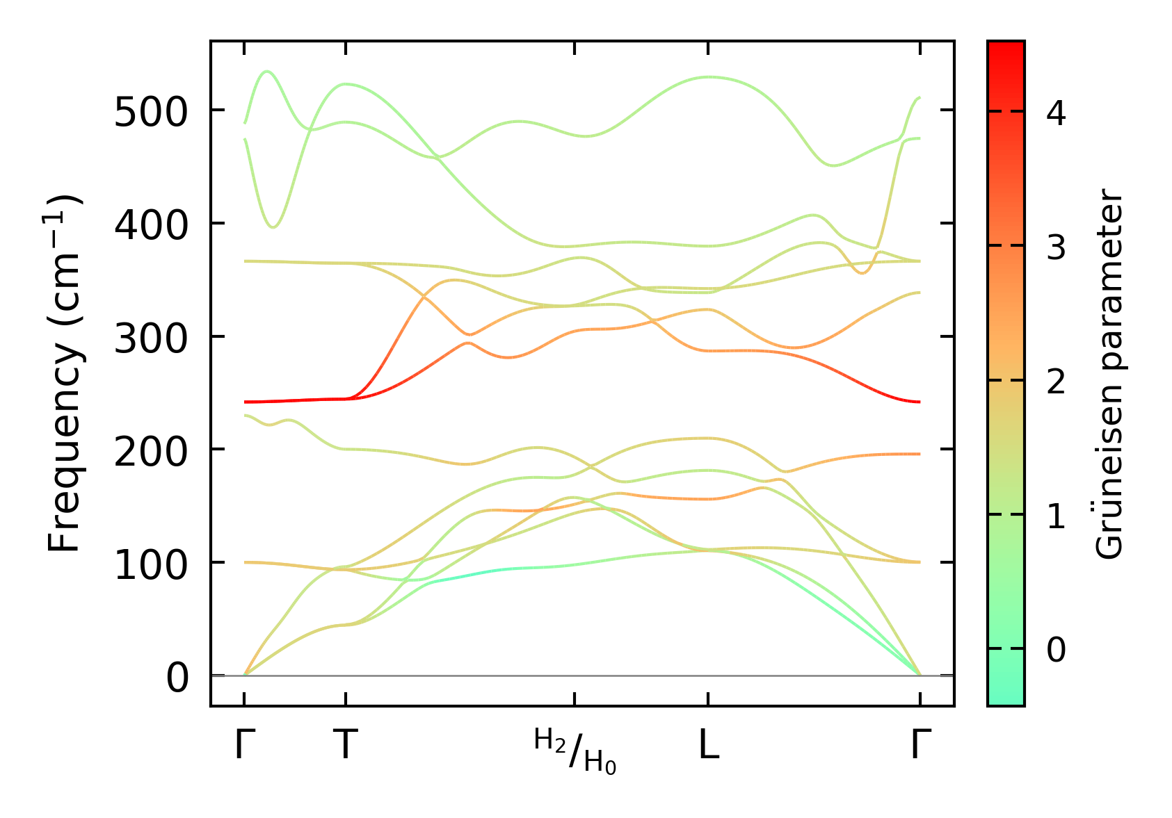
Grüneisen parameters

../../_images/fig_gru_all6979.png

(a) Grüneisen parameters

../../_images/fig_gruneisen6979.png

(b) Phonon dispersion with Grüneisen parameters

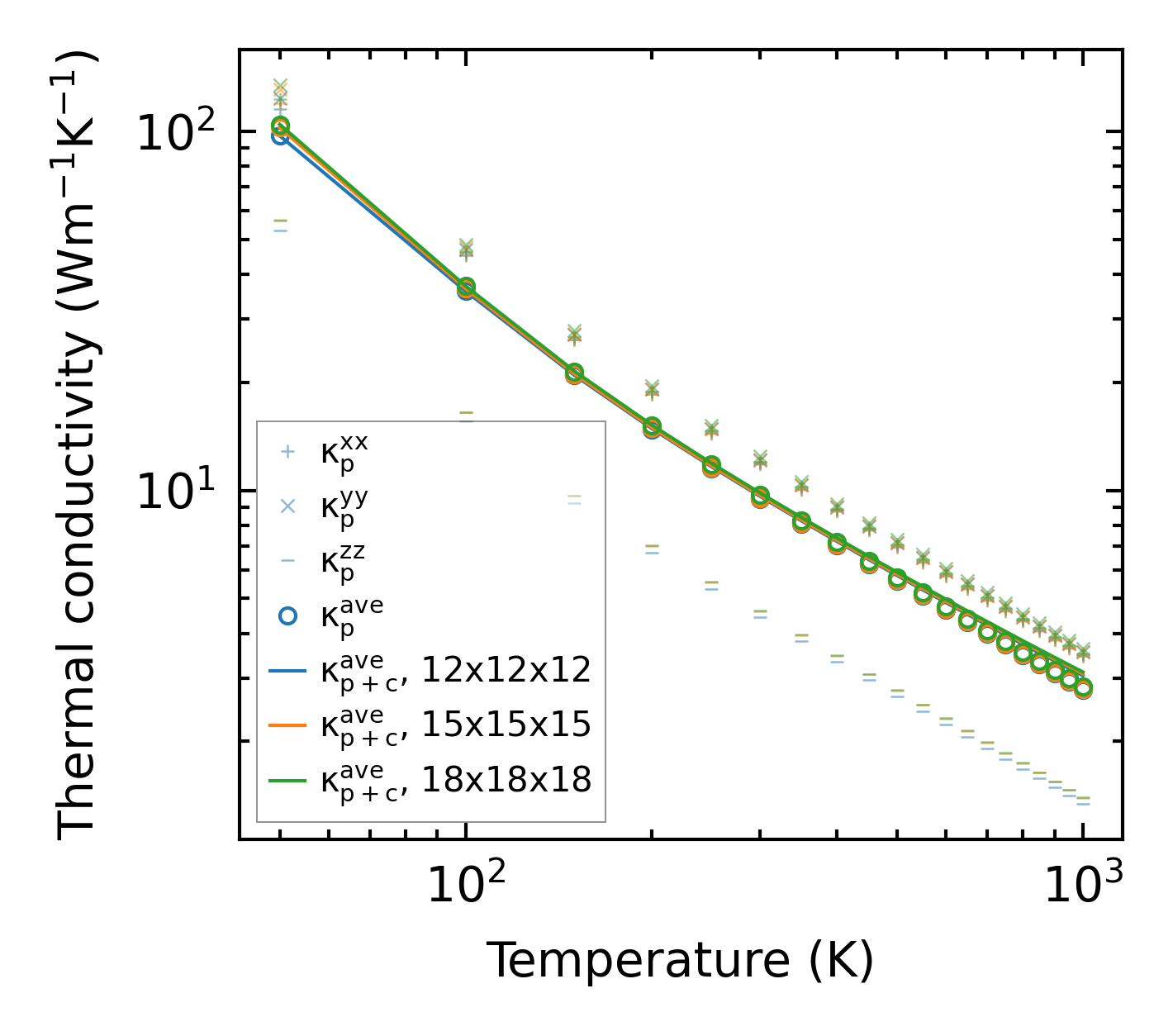
Thermal conductivity

3-phonon (LASSO) — q-mesh: 18x18x18, supercell: 3x3x1

../../_images/fig_kappa13138.png

(a) Temperature-dependent lattice thermal conductivity

../../_images/fig_kappa_vs_grain_size7061.png

(b) Peierls lattice thermal conductivity w.r.t grain size

Phonon lifetime and scattering rates

../../_images/fig_lifetime6913.png

(a) Phonon lifetime due to phonon-phonon scattering

../../_images/fig_scat_rates6912.png

(b) Phonon scattering rates

Cumulative and spectral thermal conductivity

../../_images/fig_cumu_frequency6913.png

(a) Spectral and cumulative thermal conductivity w.r.t frequency

../../_images/fig_cumu_mfp6912.png

(b) Spectral and cumulative thermal conductivity w.r.t MFP

Force constants

../../_images/fig_fc215699.png

(a) Force constants w.r.t atomic distance

Summary

../../_images/fig_kappa13139.png

(a) Temperature-dependent lattice thermal conductivity

../../_images/fig_times26484.png

(b) Computation time