mp-1178135/KLuO2/anharm

Harmonic properties

../../_images/fig_bandos_pr16103.png

(a) Phonon dispersion with participation ratio and DOS

../../_images/fig_thermo16102.png

(b) Thermodynamic properties

Grüneisen parameters

../../_images/fig_gru_all6978.png

(a) Grüneisen parameters

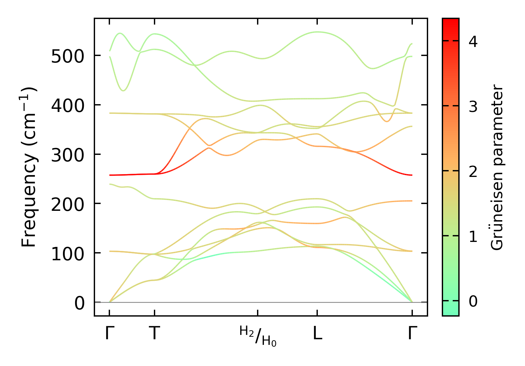
../../_images/fig_gruneisen6978.png

(b) Phonon dispersion with Grüneisen parameters

Thermal conductivity

3-phonon (LASSO) — q-mesh: 18x18x18, supercell: 3x3x1

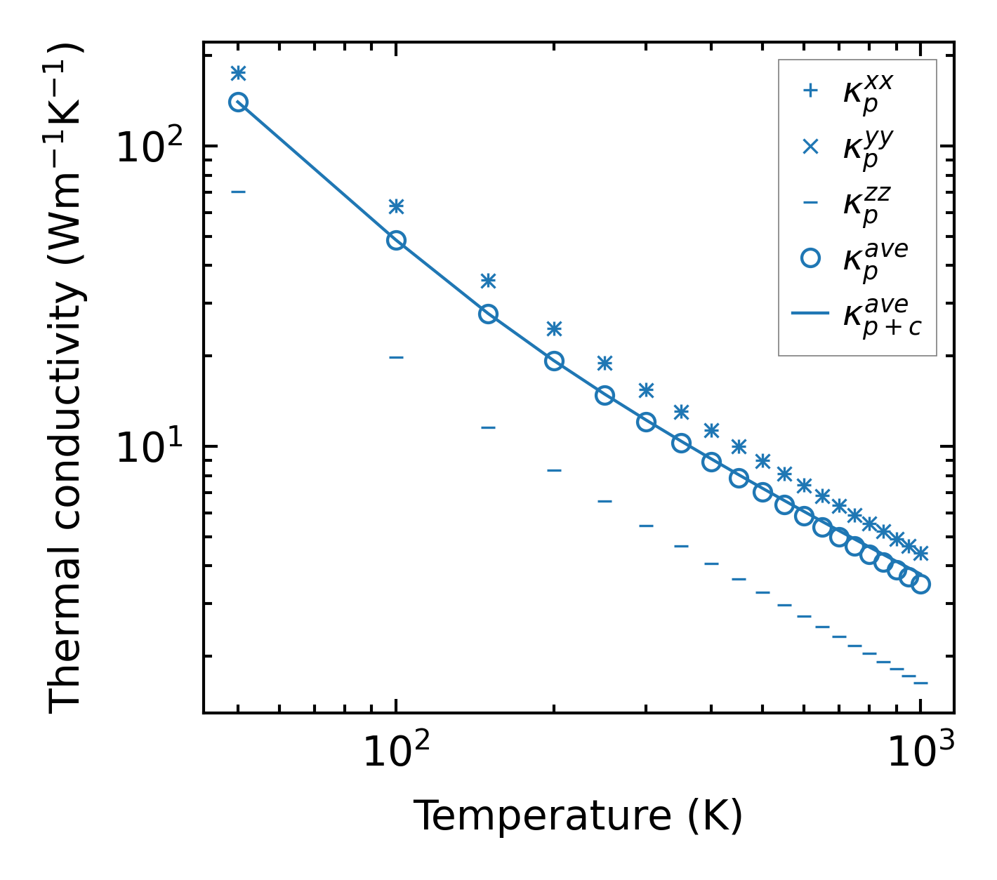
../../_images/fig_kappa13136.png

(a) Temperature-dependent lattice thermal conductivity

../../_images/fig_kappa_vs_grain_size7060.png

(b) Peierls lattice thermal conductivity w.r.t grain size

Phonon lifetime and scattering rates

../../_images/fig_lifetime6912.png

(a) Phonon lifetime due to phonon-phonon scattering

../../_images/fig_scat_rates6911.png

(b) Phonon scattering rates

Cumulative and spectral thermal conductivity

../../_images/fig_cumu_frequency6912.png

(a) Spectral and cumulative thermal conductivity w.r.t frequency

../../_images/fig_cumu_mfp6911.png

(b) Spectral and cumulative thermal conductivity w.r.t MFP

Force constants

../../_images/fig_fc215698.png

(a) Force constants w.r.t atomic distance

Summary

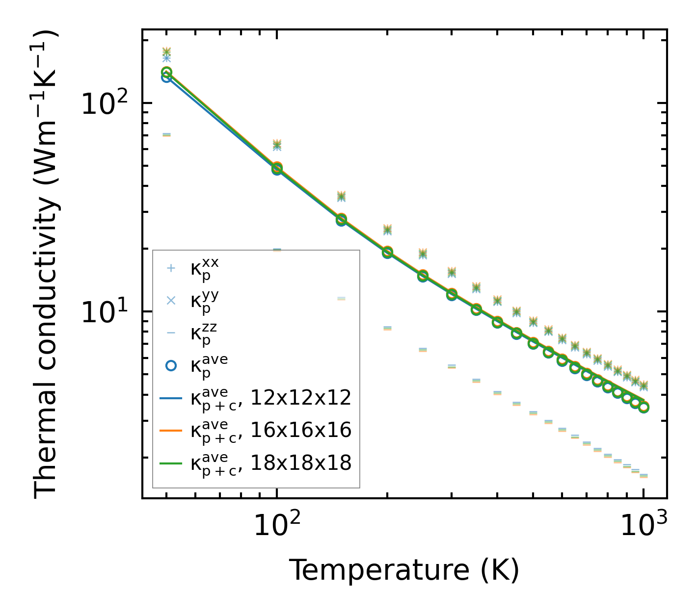
../../_images/fig_kappa13137.png

(a) Temperature-dependent lattice thermal conductivity

../../_images/fig_times26483.png

(b) Computation time