mp-1097000-2/InAgS2/anharm

Equation of state

../../_images/fig_bm7749.png

(a) Equation of state

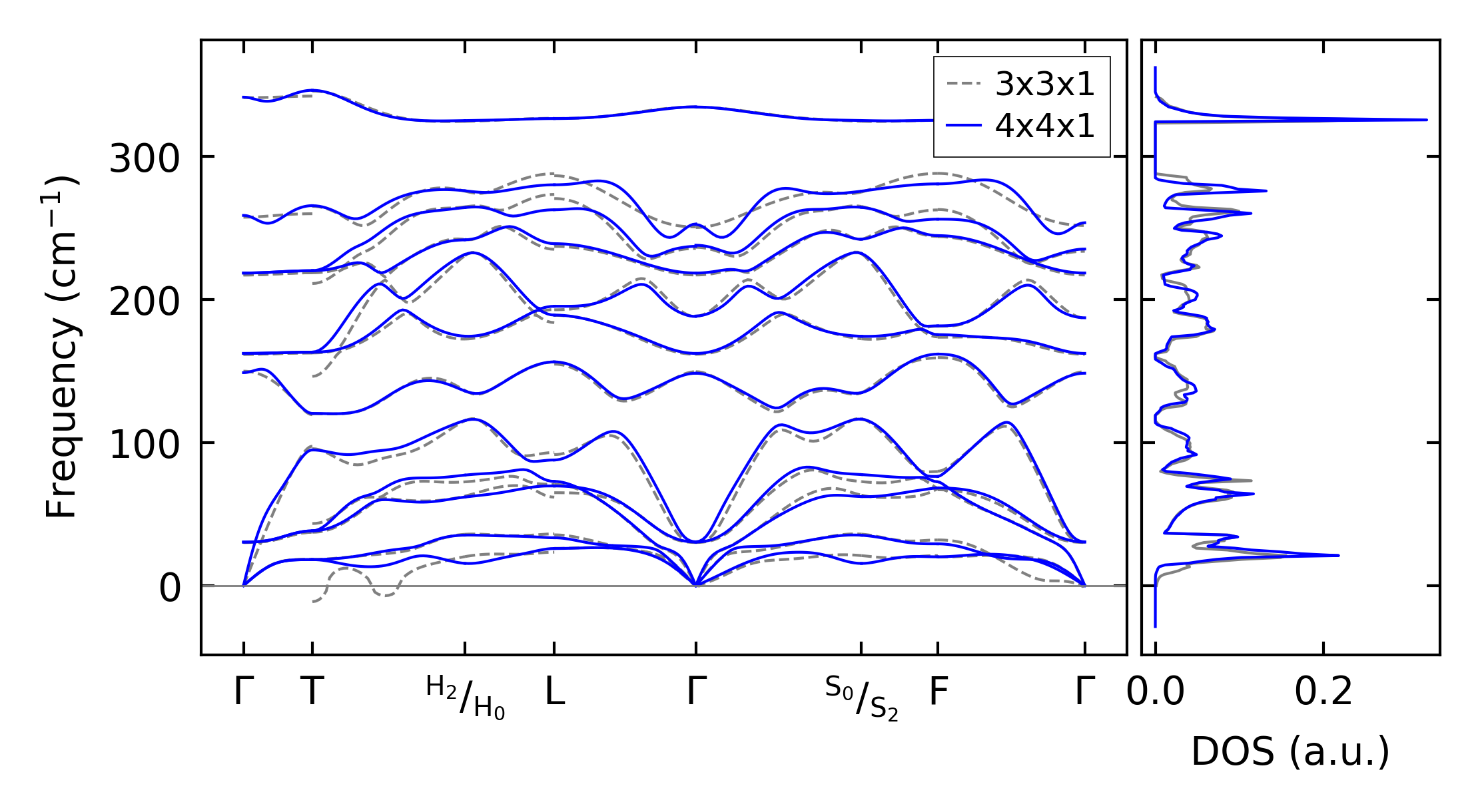
Harmonic properties

../../_images/fig_bandos_pr16722.png

(a) Phonon dispersion with participation ratio and DOS

../../_images/fig_bandos21075.png

(b) Phonon dispersion and DOS

../../_images/fig_thermo16721.png

(c) Thermodynamic properties

Grüneisen parameters

../../_images/fig_gru_all7284.png

(a) Grüneisen parameters

../../_images/fig_gruneisen7284.png

(b) Phonon dispersion with Grüneisen parameters

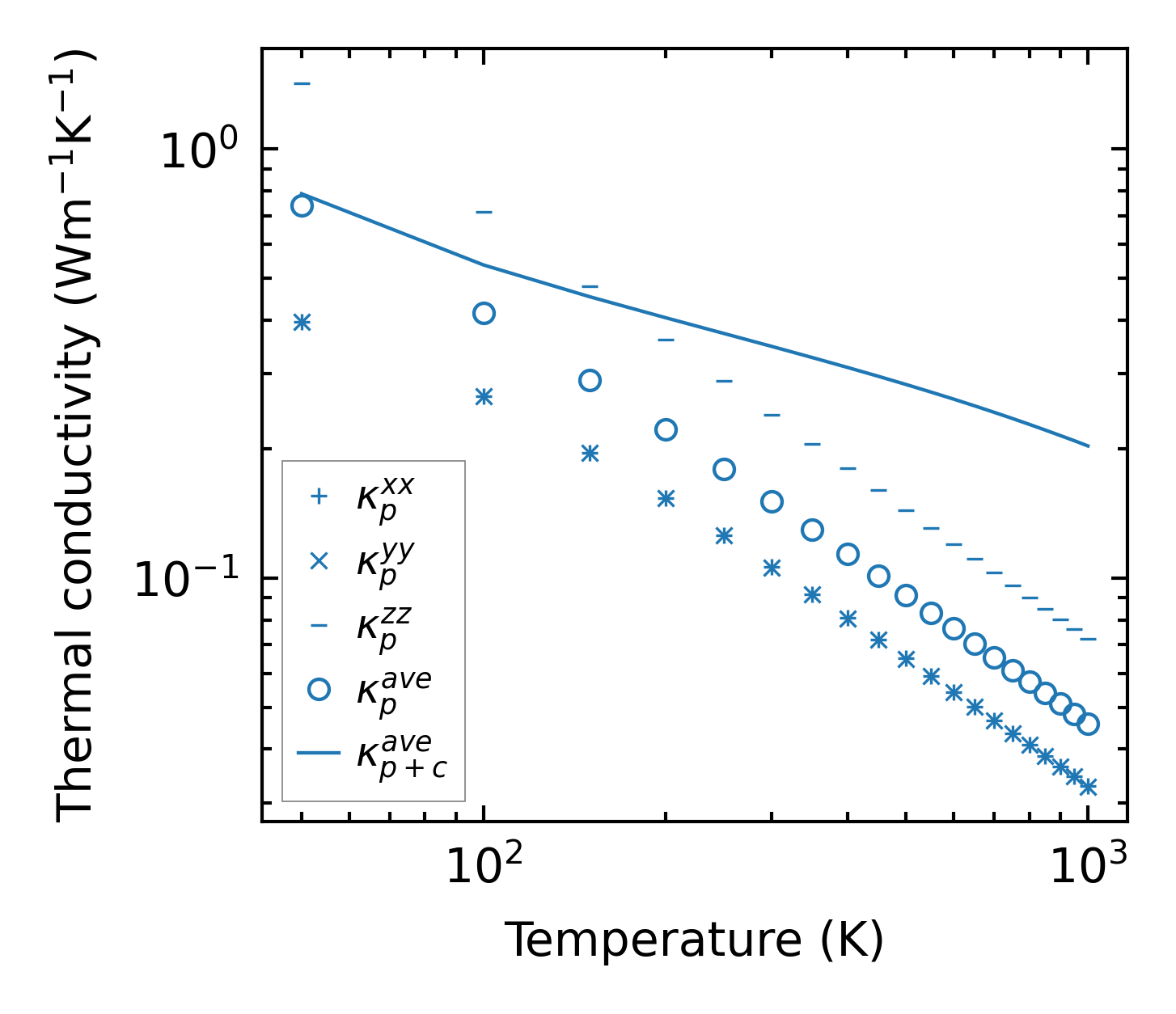
Thermal conductivity

3-phonon (LASSO), supercell 4x4x1 — q-mesh: 16x16x16, supercell: 4x4x1

../../_images/fig_kappa13735.png

(a) Temperature-dependent lattice thermal conductivity

../../_images/fig_kappa_vs_grain_size7370.png

(b) Peierls lattice thermal conductivity w.r.t grain size

Phonon lifetime and scattering rates

../../_images/fig_lifetime7218.png

(a) Phonon lifetime due to phonon-phonon scattering

../../_images/fig_scat_rates7217.png

(b) Phonon scattering rates

Cumulative and spectral thermal conductivity

../../_images/fig_cumu_frequency7218.png

(a) Spectral and cumulative thermal conductivity w.r.t frequency

../../_images/fig_cumu_mfp7217.png

(b) Spectral and cumulative thermal conductivity w.r.t MFP

Force constants

../../_images/fig_fc216291.png

(a) Force constants w.r.t atomic distance

Summary

../../_images/fig_times27323.png

(a) Computation time