mp-1096933/CsAgO2/anharm

Harmonic properties

../../_images/fig_bandos_pr16719.png

(a) Phonon dispersion with participation ratio and DOS

../../_images/fig_thermo16718.png

(b) Thermodynamic properties

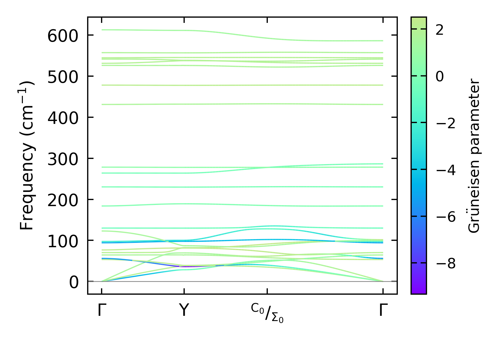
Grüneisen parameters

../../_images/fig_gru_all7281.png

(a) Grüneisen parameters

../../_images/fig_gruneisen7281.png

(b) Phonon dispersion with Grüneisen parameters

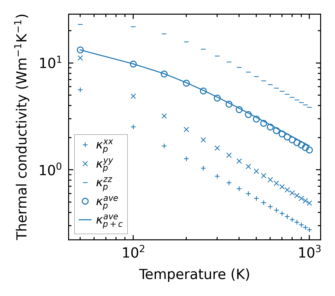
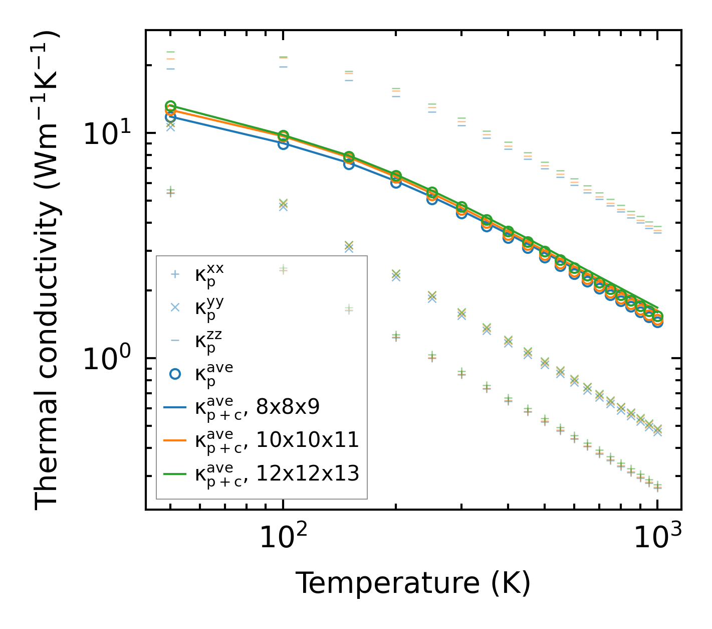
Thermal conductivity

3-phonon (LASSO) — q-mesh: 12x12x13, supercell: 3x1x3

../../_images/fig_kappa13730.png

(a) Temperature-dependent lattice thermal conductivity

../../_images/fig_kappa_vs_grain_size7367.png

(b) Peierls lattice thermal conductivity w.r.t grain size

Phonon lifetime and scattering rates

../../_images/fig_lifetime7215.png

(a) Phonon lifetime due to phonon-phonon scattering

../../_images/fig_scat_rates7214.png

(b) Phonon scattering rates

Cumulative and spectral thermal conductivity

../../_images/fig_cumu_frequency7215.png

(a) Spectral and cumulative thermal conductivity w.r.t frequency

../../_images/fig_cumu_mfp7214.png

(b) Spectral and cumulative thermal conductivity w.r.t MFP

Force constants

../../_images/fig_fc216288.png

(a) Force constants w.r.t atomic distance

Summary

../../_images/fig_kappa13731.png

(a) Temperature-dependent lattice thermal conductivity

../../_images/fig_times27310.png

(b) Computation time