mp-1096971-2/GaAgO2/anharm

Equation of state

../../_images/fig_bm7748.png

(a) Equation of state

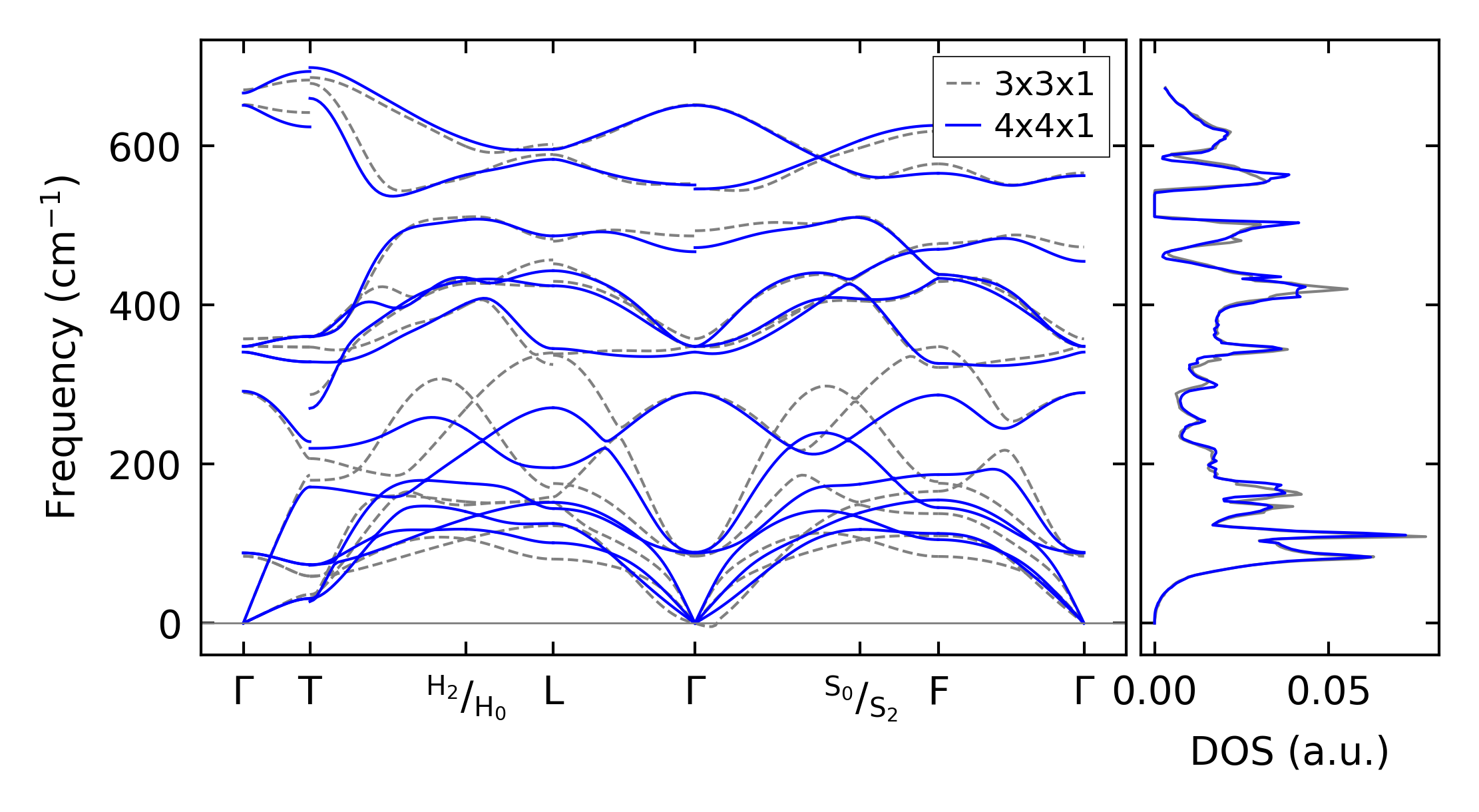
Harmonic properties

../../_images/fig_bandos_pr16720.png

(a) Phonon dispersion with participation ratio and DOS

../../_images/fig_bandos21069.png

(b) Phonon dispersion and DOS

../../_images/fig_thermo16719.png

(c) Thermodynamic properties

Grüneisen parameters

../../_images/fig_gru_all7282.png

(a) Grüneisen parameters

../../_images/fig_gruneisen7282.png

(b) Phonon dispersion with Grüneisen parameters

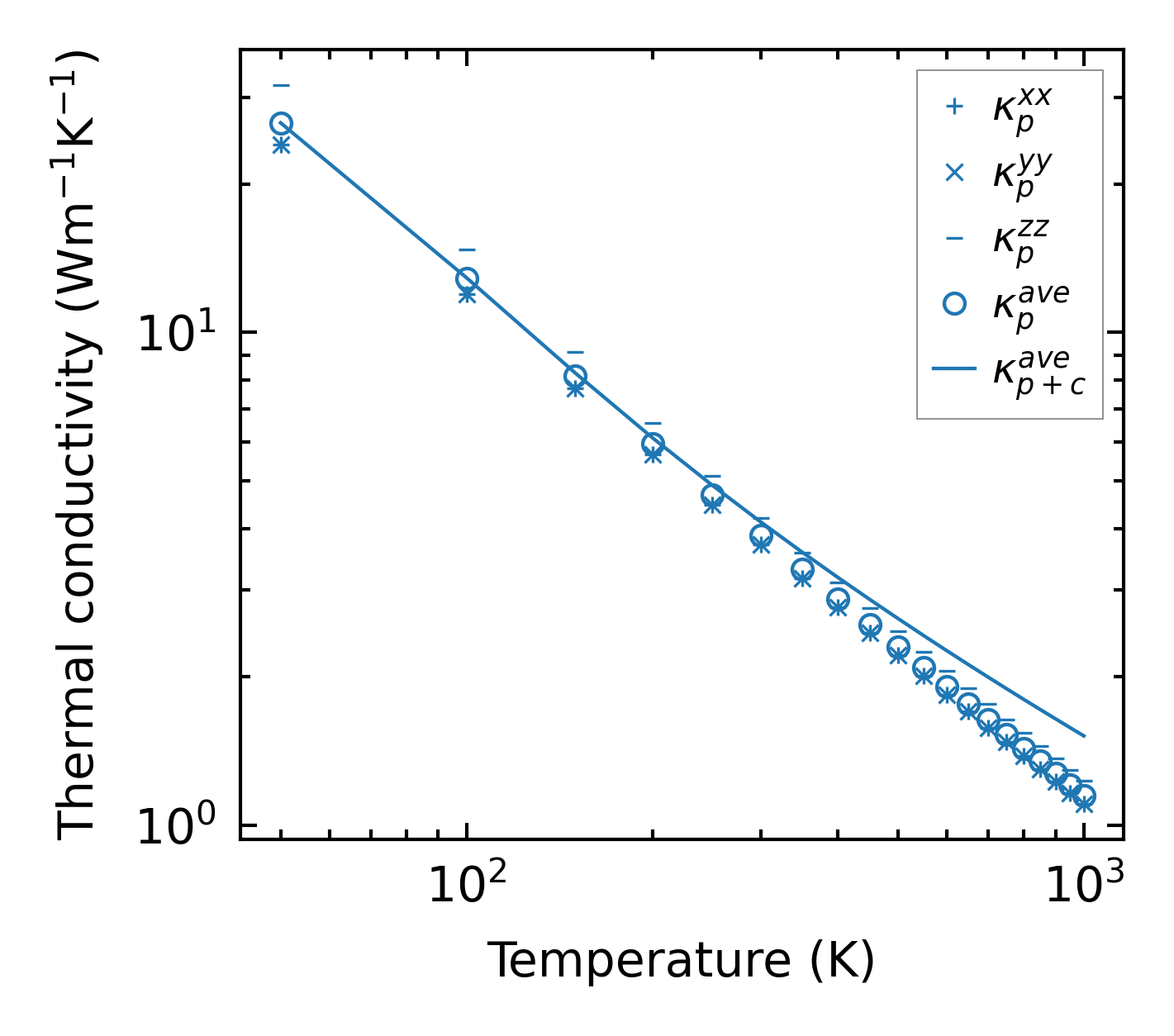
Thermal conductivity

3-phonon (LASSO), supercell 4x4x1 — q-mesh: 19x19x19, supercell: 4x4x1

../../_images/fig_kappa13732.png

(a) Temperature-dependent lattice thermal conductivity

../../_images/fig_kappa_vs_grain_size7368.png

(b) Peierls lattice thermal conductivity w.r.t grain size

Phonon lifetime and scattering rates

../../_images/fig_lifetime7216.png

(a) Phonon lifetime due to phonon-phonon scattering

../../_images/fig_scat_rates7215.png

(b) Phonon scattering rates

Cumulative and spectral thermal conductivity

../../_images/fig_cumu_frequency7216.png

(a) Spectral and cumulative thermal conductivity w.r.t frequency

../../_images/fig_cumu_mfp7215.png

(b) Spectral and cumulative thermal conductivity w.r.t MFP

Force constants

../../_images/fig_fc216289.png

(a) Force constants w.r.t atomic distance

Summary

../../_images/fig_times27316.png

(a) Computation time