mp-1070852/YbHCl/anharm

Harmonic properties

../../_images/fig_bandos_pr17132.png

(a) Phonon dispersion with participation ratio and DOS

../../_images/fig_thermo17131.png

(b) Thermodynamic properties

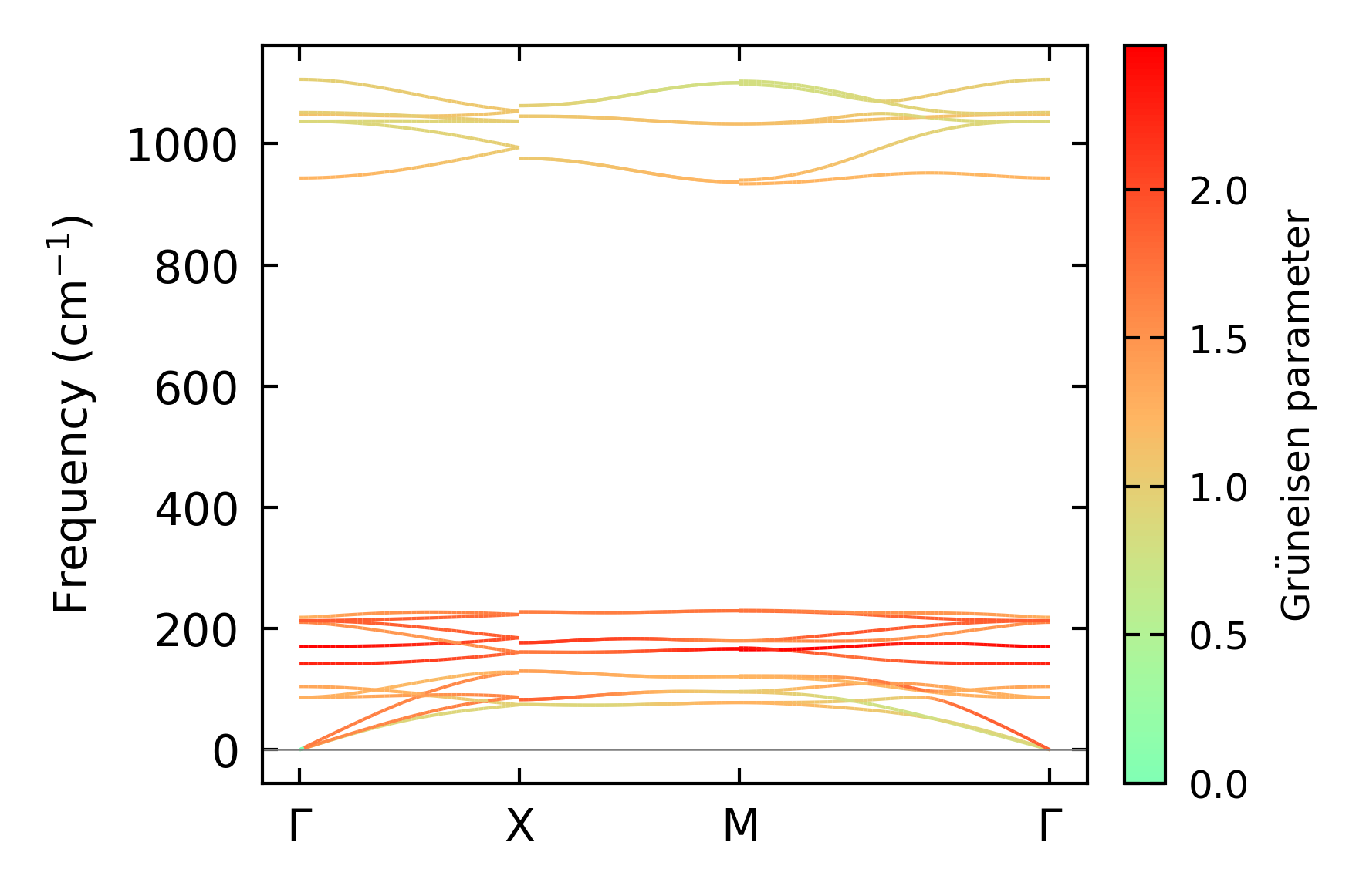
Grüneisen parameters

../../_images/fig_gru_all7491.png

(a) Grüneisen parameters

../../_images/fig_gruneisen7491.png

(b) Phonon dispersion with Grüneisen parameters

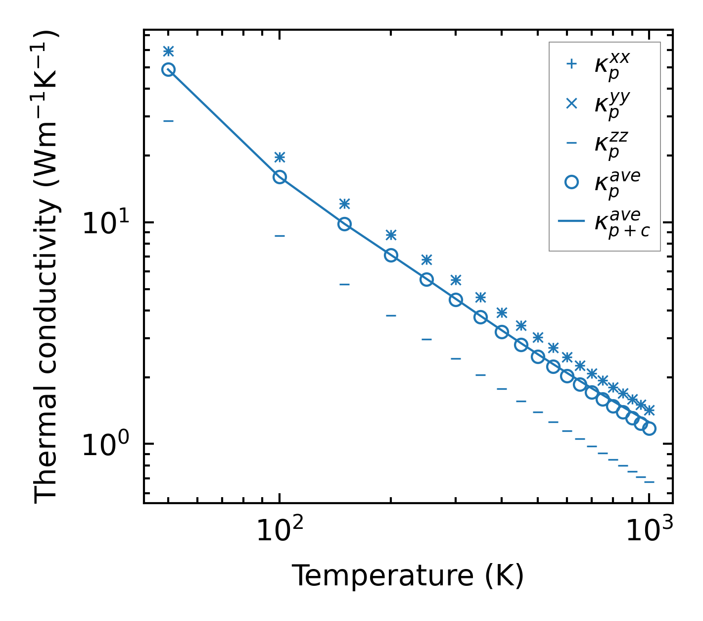
Thermal conductivity

3-phonon (LASSO) — q-mesh: 19x19x11, supercell: 3x3x2

../../_images/fig_kappa14132.png

(a) Temperature-dependent lattice thermal conductivity

../../_images/fig_kappa_vs_grain_size7581.png

(b) Peierls lattice thermal conductivity w.r.t grain size

Phonon lifetime and scattering rates

../../_images/fig_lifetime7424.png

(a) Phonon lifetime due to phonon-phonon scattering

../../_images/fig_scat_rates7423.png

(b) Phonon scattering rates

Cumulative and spectral thermal conductivity

../../_images/fig_cumu_frequency7424.png

(a) Spectral and cumulative thermal conductivity w.r.t frequency

../../_images/fig_cumu_mfp7423.png

(b) Spectral and cumulative thermal conductivity w.r.t MFP

Force constants

../../_images/fig_fc216676.png

(a) Force constants w.r.t atomic distance

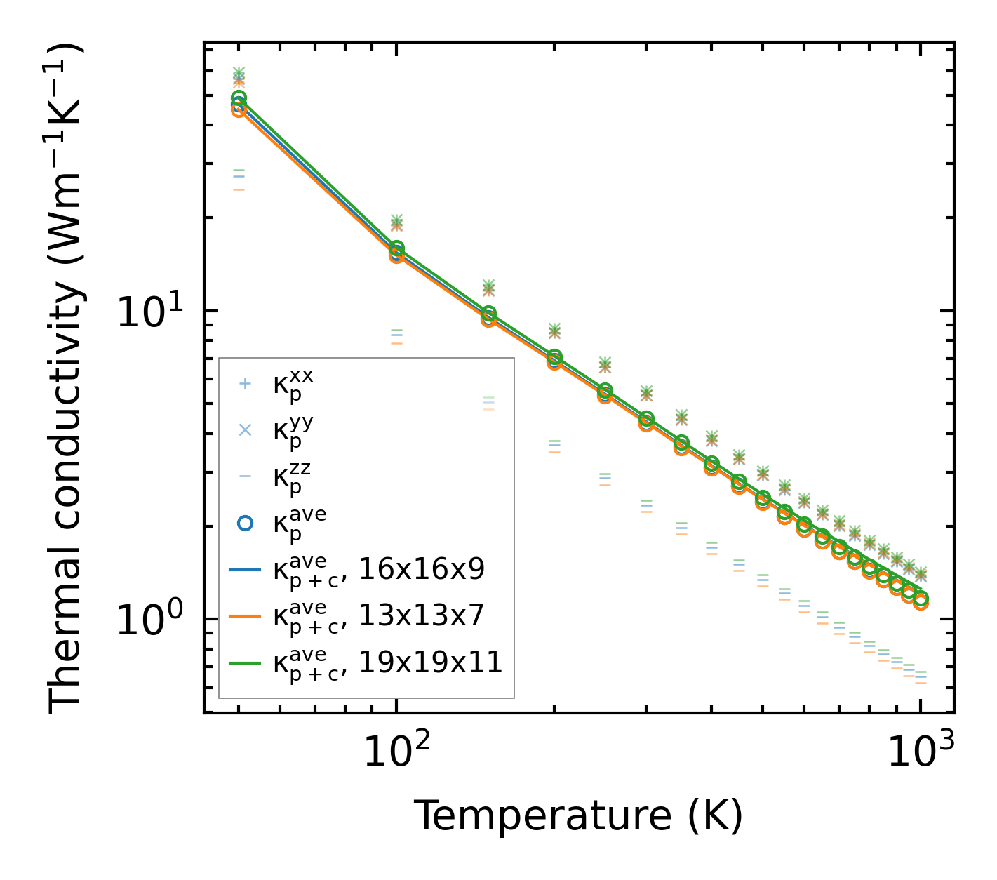
Summary

../../_images/fig_kappa14133.png

(a) Temperature-dependent lattice thermal conductivity

../../_images/fig_times27956.png

(b) Computation time