mp-1042873/SnGe2O6/anharm

Harmonic properties

../../_images/fig_bandos_pr17231.png

(a) Phonon dispersion with participation ratio and DOS

../../_images/fig_bandos21712.png

(b) Phonon dispersion and DOS

../../_images/fig_thermo17230.png

(c) Thermodynamic properties

Grüneisen parameters

../../_images/fig_gru_all7545.png

(a) Grüneisen parameters

../../_images/fig_gruneisen7545.png

(b) Phonon dispersion with Grüneisen parameters

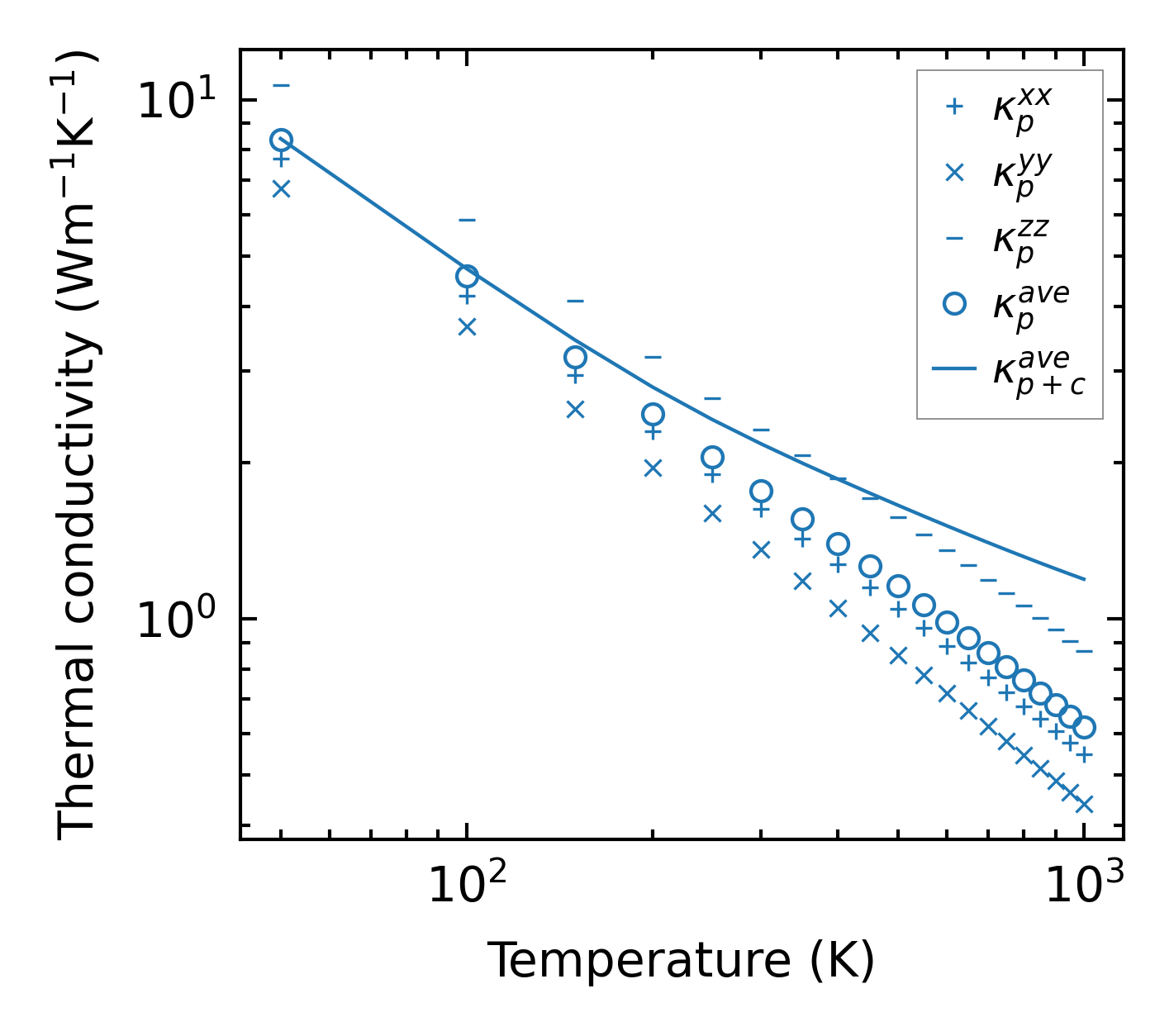
Thermal conductivity

3-phonon (LASSO) — q-mesh: 10x10x13, supercell: 1x2x2

../../_images/fig_kappa14230.png

(a) Temperature-dependent lattice thermal conductivity

../../_images/fig_kappa_vs_grain_size7634.png

(b) Peierls lattice thermal conductivity w.r.t grain size

Phonon lifetime and scattering rates

../../_images/fig_lifetime7477.png

(a) Phonon lifetime due to phonon-phonon scattering

../../_images/fig_scat_rates7476.png

(b) Phonon scattering rates

Cumulative and spectral thermal conductivity

../../_images/fig_cumu_frequency7477.png

(a) Spectral and cumulative thermal conductivity w.r.t frequency

../../_images/fig_cumu_mfp7476.png

(b) Spectral and cumulative thermal conductivity w.r.t MFP

Force constants

../../_images/fig_fc216772.png

(a) Force constants w.r.t atomic distance

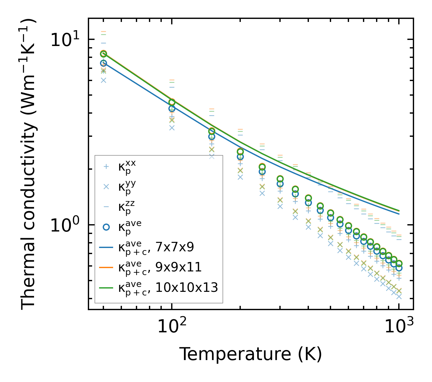
Summary

../../_images/fig_kappa14231.png

(a) Temperature-dependent lattice thermal conductivity

../../_images/fig_times28187.png

(b) Computation time