mp-1042399/MgCuAs2O7/anharm

Harmonic properties

../../_images/fig_bandos_pr17224.png

(a) Phonon dispersion with participation ratio and DOS

../../_images/fig_thermo17223.png

(b) Thermodynamic properties

Grüneisen parameters

../../_images/fig_gru_all7544.png

(a) Grüneisen parameters

../../_images/fig_gruneisen7544.png

(b) Phonon dispersion with Grüneisen parameters

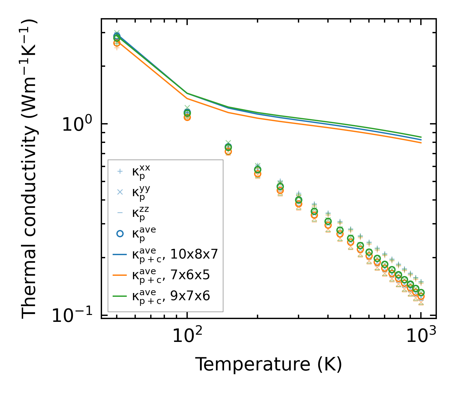
Thermal conductivity

3-phonon (LASSO) — q-mesh: 10x8x7, supercell: 2x1x1

../../_images/fig_kappa14228.png

(a) Temperature-dependent lattice thermal conductivity

../../_images/fig_kappa_vs_grain_size7633.png

(b) Peierls lattice thermal conductivity w.r.t grain size

Phonon lifetime and scattering rates

../../_images/fig_lifetime7476.png

(a) Phonon lifetime due to phonon-phonon scattering

../../_images/fig_scat_rates7475.png

(b) Phonon scattering rates

Cumulative and spectral thermal conductivity

../../_images/fig_cumu_frequency7476.png

(a) Spectral and cumulative thermal conductivity w.r.t frequency

../../_images/fig_cumu_mfp7475.png

(b) Spectral and cumulative thermal conductivity w.r.t MFP

Force constants

../../_images/fig_fc216765.png

(a) Force constants w.r.t atomic distance

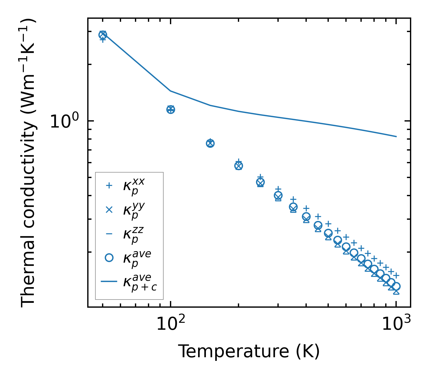
Summary

../../_images/fig_kappa14229.png

(a) Temperature-dependent lattice thermal conductivity

../../_images/fig_times28168.png

(b) Computation time