mp-1017628/MgBe2P2/anharm

Harmonic properties

../../_images/fig_bandos_pr12.png

(a) Phonon dispersion with participation ratio and DOS

../../_images/fig_thermo12.png

(b) Thermodynamic properties

Grüneisen parameters

../../_images/fig_gru_all8.png

(a) Grüneisen parameters

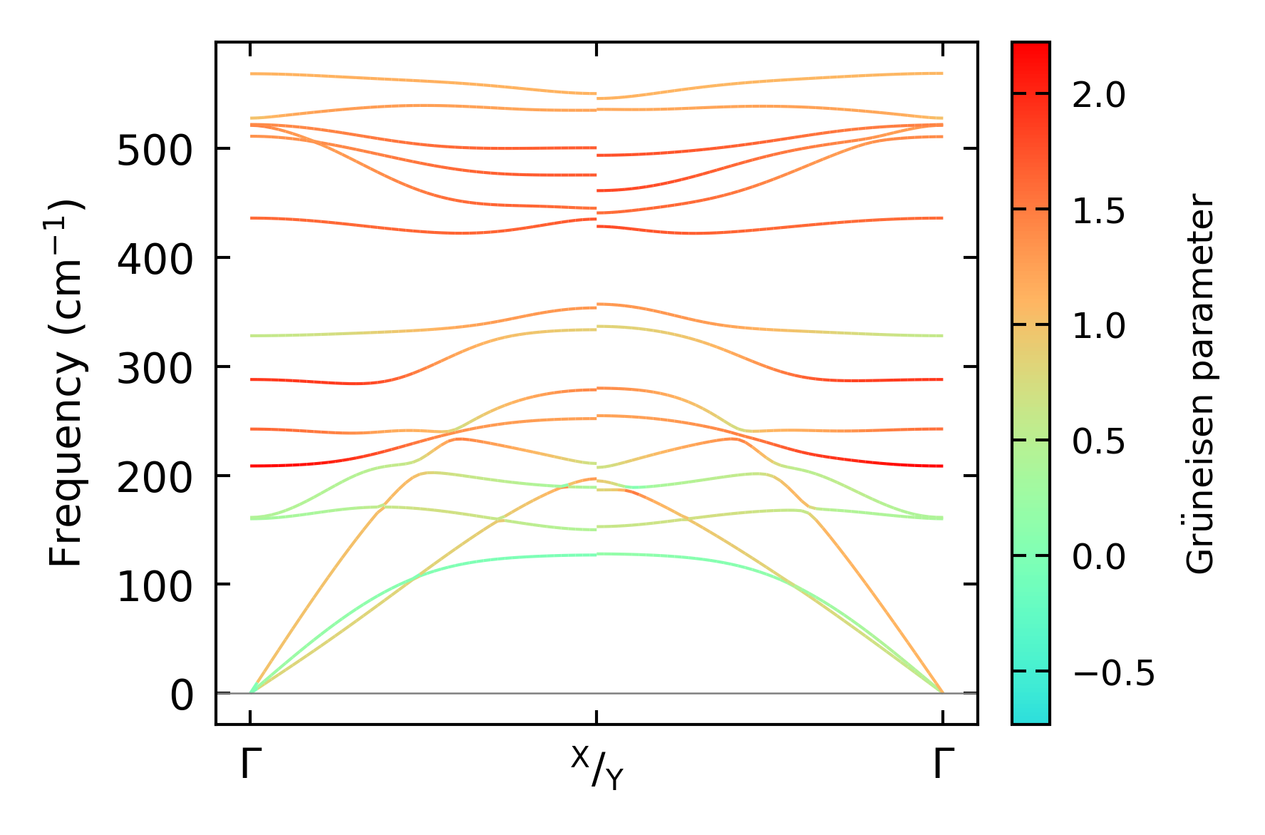
../../_images/fig_gruneisen8.png

(b) Phonon dispersion with Grüneisen parameters

Thermal conductivity

3-phonon (LASSO) — q-mesh: 20x20x12, supercell: 4x3x2

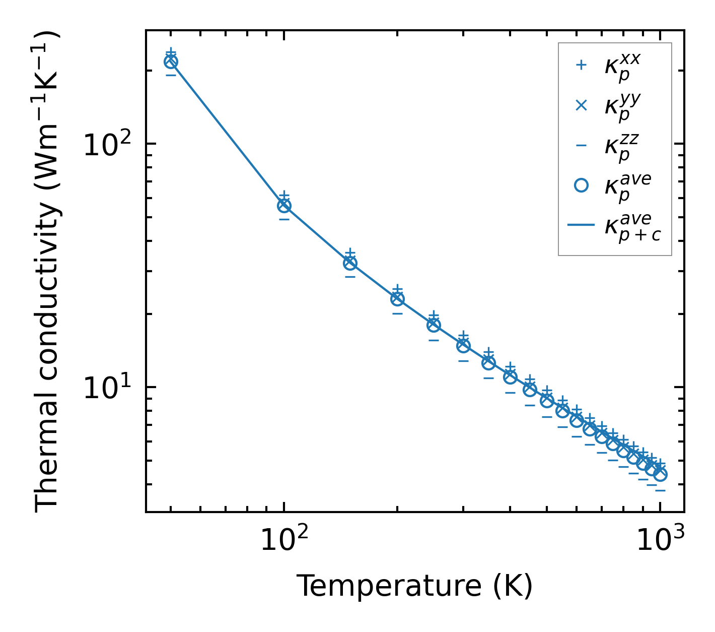
../../_images/fig_kappa16.png

(a) Temperature-dependent lattice thermal conductivity

../../_images/fig_kappa_vs_grain_size8.png

(b) Peierls lattice thermal conductivity w.r.t grain size

Phonon lifetime and scattering rates

../../_images/fig_lifetime8.png

(a) Phonon lifetime due to phonon-phonon scattering

../../_images/fig_scat_rates8.png

(b) Phonon scattering rates

Cumulative and spectral thermal conductivity

../../_images/fig_cumu_frequency8.png

(a) Spectral and cumulative thermal conductivity w.r.t frequency

../../_images/fig_cumu_mfp8.png

(b) Spectral and cumulative thermal conductivity w.r.t MFP

Force constants

../../_images/fig_fc212.png

(a) Force constants w.r.t atomic distance

Summary

../../_images/fig_kappa17.png

(a) Temperature-dependent lattice thermal conductivity

../../_images/fig_times28.png

(b) Computation time