mp-1017567/Hf2SN2/anharm

Harmonic properties

../../_images/fig_bandos_pr11.png

(a) Phonon dispersion with participation ratio and DOS

../../_images/fig_thermo11.png

(b) Thermodynamic properties

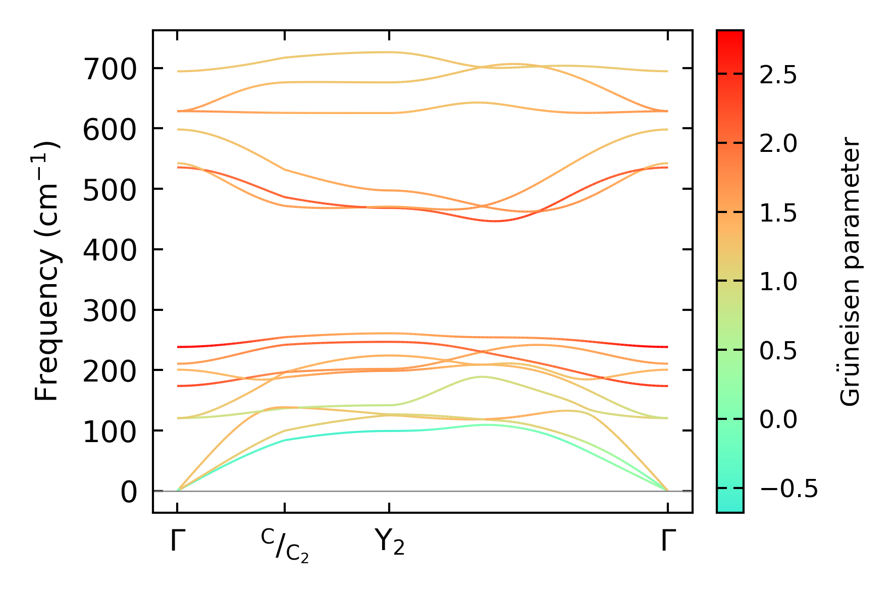
Grüneisen parameters

../../_images/fig_gru_all7.png

(a) Grüneisen parameters

../../_images/fig_gruneisen7.png

(b) Phonon dispersion with Grüneisen parameters

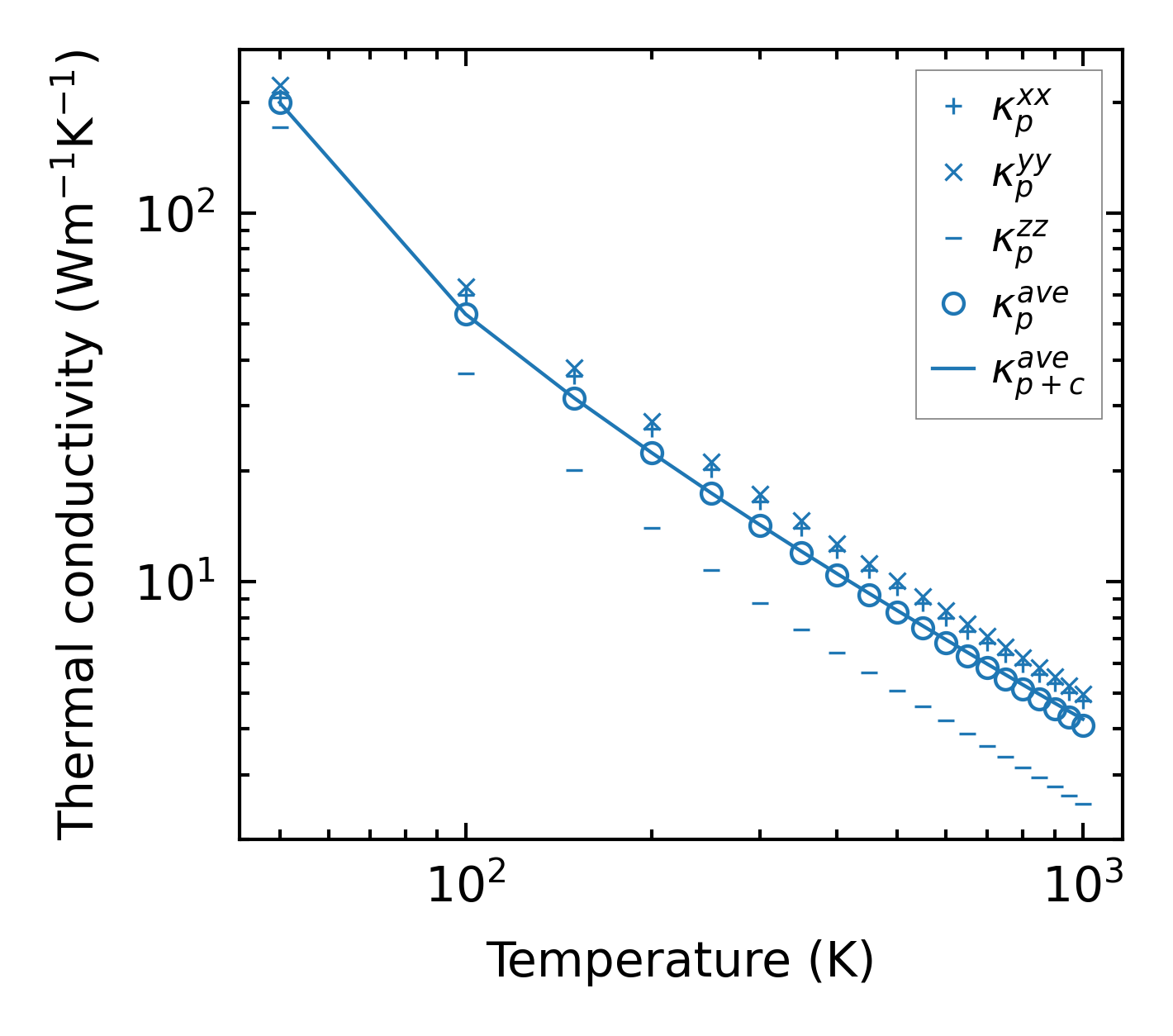
Thermal conductivity

3-phonon (LASSO) — q-mesh: 21x21x11, supercell: 2x3x2

../../_images/fig_kappa14.png

(a) Temperature-dependent lattice thermal conductivity

../../_images/fig_kappa_vs_grain_size7.png

(b) Peierls lattice thermal conductivity w.r.t grain size

Phonon lifetime and scattering rates

../../_images/fig_lifetime7.png

(a) Phonon lifetime due to phonon-phonon scattering

../../_images/fig_scat_rates7.png

(b) Phonon scattering rates

Cumulative and spectral thermal conductivity

../../_images/fig_cumu_frequency7.png

(a) Spectral and cumulative thermal conductivity w.r.t frequency

../../_images/fig_cumu_mfp7.png

(b) Spectral and cumulative thermal conductivity w.r.t MFP

Force constants

../../_images/fig_fc211.png

(a) Force constants w.r.t atomic distance

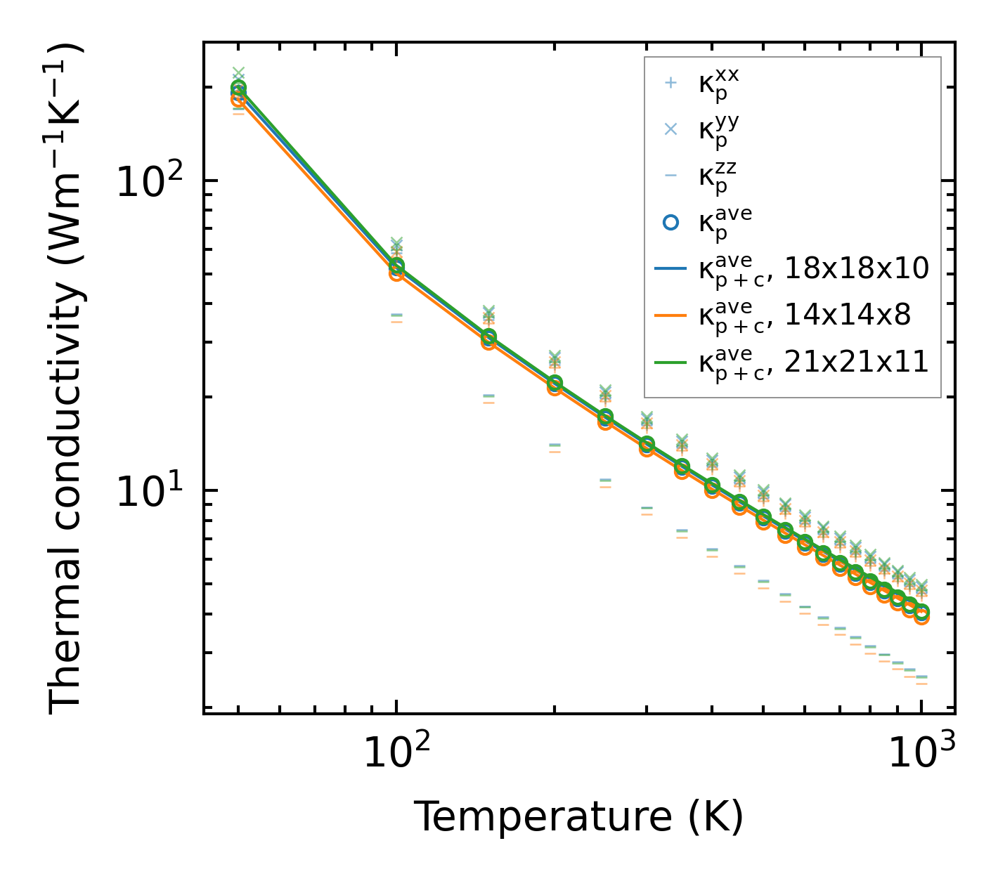
Summary

../../_images/fig_kappa15.png

(a) Temperature-dependent lattice thermal conductivity

../../_images/fig_times27.png

(b) Computation time