mp-1002164/GeC/anharm

Harmonic properties

../../_images/fig_bandos_pr267.png

(a) Phonon dispersion with participation ratio and DOS

../../_images/fig_thermo267.png

(b) Thermodynamic properties

Grüneisen parameters

../../_images/fig_gru_all180.png

(a) Grüneisen parameters

../../_images/fig_gruneisen180.png

(b) Phonon dispersion with Grüneisen parameters

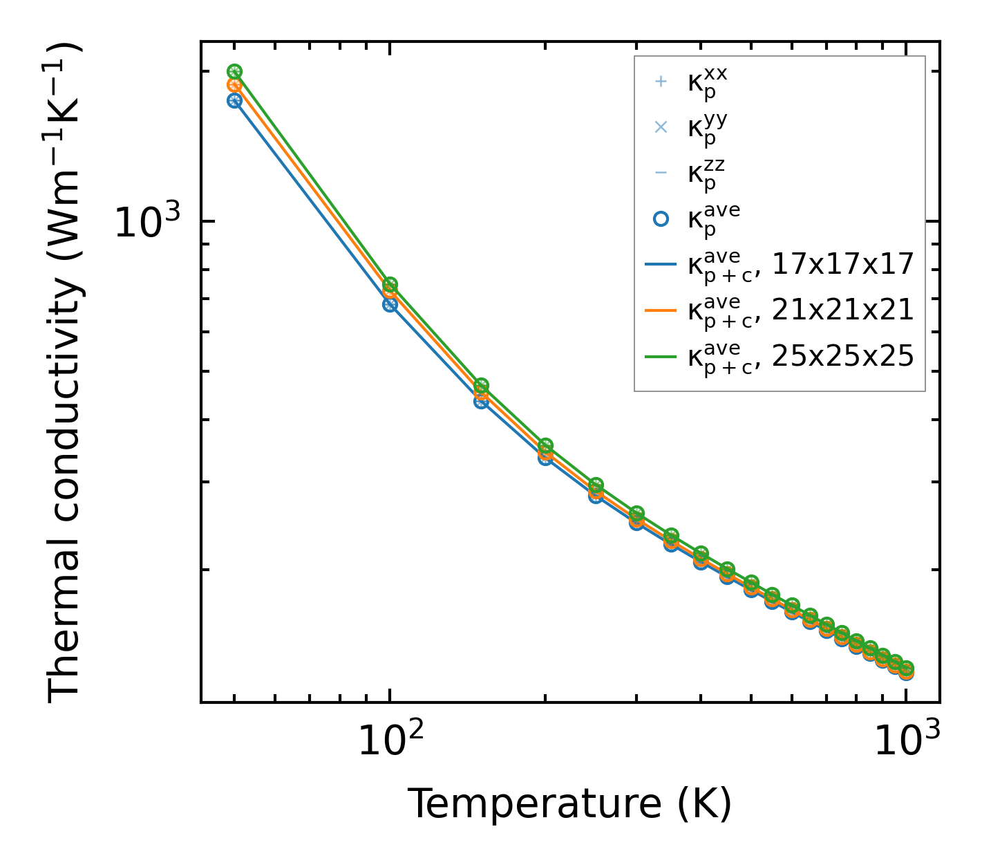
Thermal conductivity

3-phonon — q-mesh: 25x25x25, supercell: 2x2x2

../../_images/fig_kappa351.png

(a) Temperature-dependent lattice thermal conductivity

../../_images/fig_kappa_vs_grain_size182.png

(b) Peierls lattice thermal conductivity w.r.t grain size

Phonon lifetime and scattering rates

../../_images/fig_lifetime179.png

(a) Phonon lifetime due to phonon-phonon scattering

../../_images/fig_scat_rates178.png

(b) Phonon scattering rates

Cumulative and spectral thermal conductivity

../../_images/fig_cumu_frequency179.png

(a) Spectral and cumulative thermal conductivity w.r.t frequency

../../_images/fig_cumu_mfp179.png

(b) Spectral and cumulative thermal conductivity w.r.t MFP

Force constants

../../_images/fig_fc333.png

(a) Force constants w.r.t atomic distance

Summary

../../_images/fig_kappa352.png

(a) Temperature-dependent lattice thermal conductivity

../../_images/fig_times431.png

(b) Computation time