mp-1002124/HfC/anharm

Harmonic properties

../../_images/fig_bandos_pr266.png

(a) Phonon dispersion with participation ratio and DOS

../../_images/fig_thermo266.png

(b) Thermodynamic properties

Grüneisen parameters

../../_images/fig_gru_all179.png

(a) Grüneisen parameters

../../_images/fig_gruneisen179.png

(b) Phonon dispersion with Grüneisen parameters

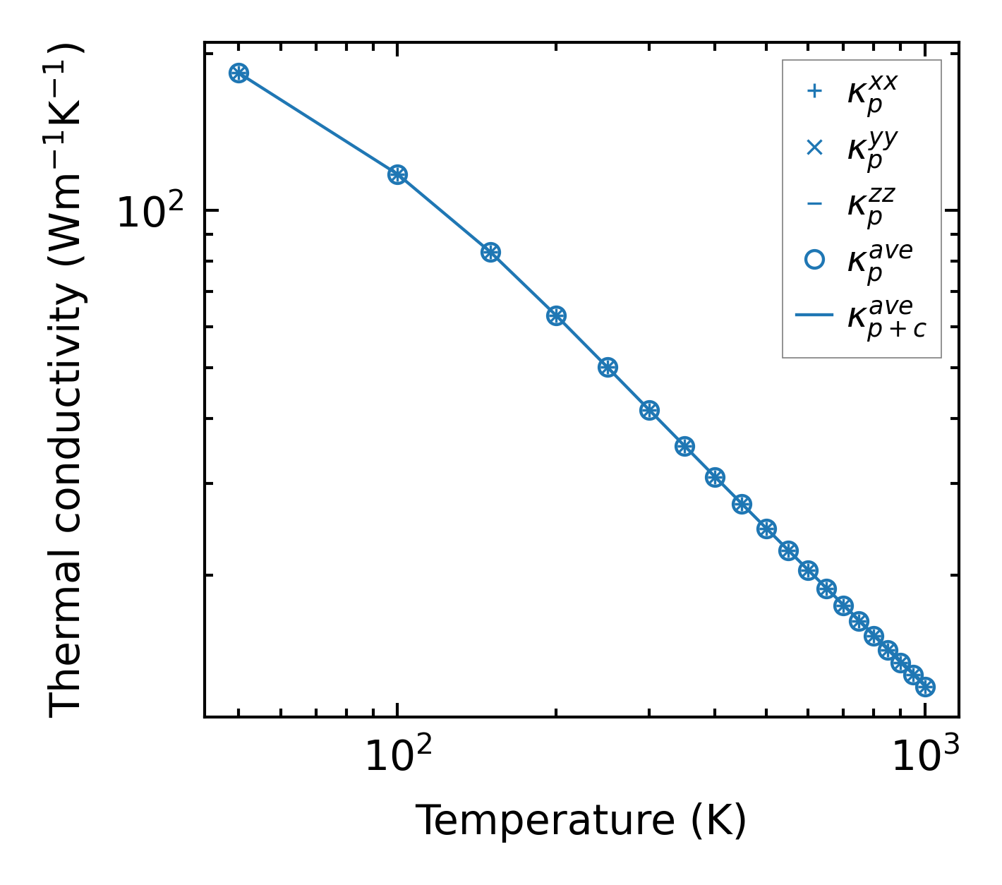
Thermal conductivity

3-phonon — q-mesh: 22x22x22, supercell: 2x2x2

../../_images/fig_kappa349.png

(a) Temperature-dependent lattice thermal conductivity

../../_images/fig_kappa_vs_grain_size181.png

(b) Peierls lattice thermal conductivity w.r.t grain size

Phonon lifetime and scattering rates

../../_images/fig_lifetime178.png

(a) Phonon lifetime due to phonon-phonon scattering

../../_images/fig_scat_rates177.png

(b) Phonon scattering rates

Cumulative and spectral thermal conductivity

../../_images/fig_cumu_frequency178.png

(a) Spectral and cumulative thermal conductivity w.r.t frequency

../../_images/fig_cumu_mfp178.png

(b) Spectral and cumulative thermal conductivity w.r.t MFP

Force constants

../../_images/fig_fc332.png

(a) Force constants w.r.t atomic distance

Summary

../../_images/fig_kappa350.png

(a) Temperature-dependent lattice thermal conductivity

../../_images/fig_times430.png

(b) Computation time