mp-1002107/LaRh/anharm

Harmonic properties

../../_images/fig_bandos_pr265.png

(a) Phonon dispersion with participation ratio and DOS

../../_images/fig_thermo265.png

(b) Thermodynamic properties

Grüneisen parameters

../../_images/fig_gru_all178.png

(a) Grüneisen parameters

../../_images/fig_gruneisen178.png

(b) Phonon dispersion with Grüneisen parameters

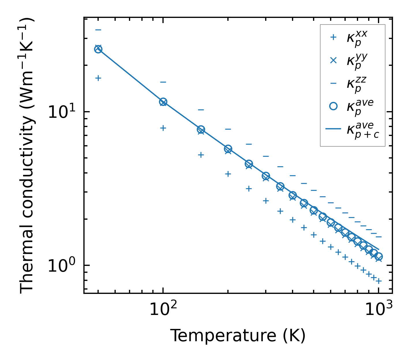
Thermal conductivity

3-phonon (LASSO) — q-mesh: 14x14x20, supercell: 3x2x3

../../_images/fig_kappa347.png

(a) Temperature-dependent lattice thermal conductivity

../../_images/fig_kappa_vs_grain_size180.png

(b) Peierls lattice thermal conductivity w.r.t grain size

Phonon lifetime and scattering rates

../../_images/fig_lifetime177.png

(a) Phonon lifetime due to phonon-phonon scattering

../../_images/fig_scat_rates176.png

(b) Phonon scattering rates

Cumulative and spectral thermal conductivity

../../_images/fig_cumu_frequency177.png

(a) Spectral and cumulative thermal conductivity w.r.t frequency

../../_images/fig_cumu_mfp177.png

(b) Spectral and cumulative thermal conductivity w.r.t MFP

Force constants

../../_images/fig_fc2233.png

(a) Force constants w.r.t atomic distance

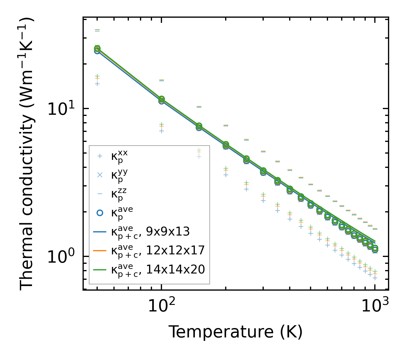
Summary

../../_images/fig_kappa348.png

(a) Temperature-dependent lattice thermal conductivity

../../_images/fig_times429.png

(b) Computation time