mp-979979/Sm3Sb4Au3/anharm

Harmonic properties

../../_images/fig_bandos_pr1075.png

(a) Phonon dispersion with participation ratio and DOS

../../_images/fig_thermo1075.png

(b) Thermodynamic properties

Grüneisen parameters

../../_images/fig_gru_all660.png

(a) Grüneisen parameters

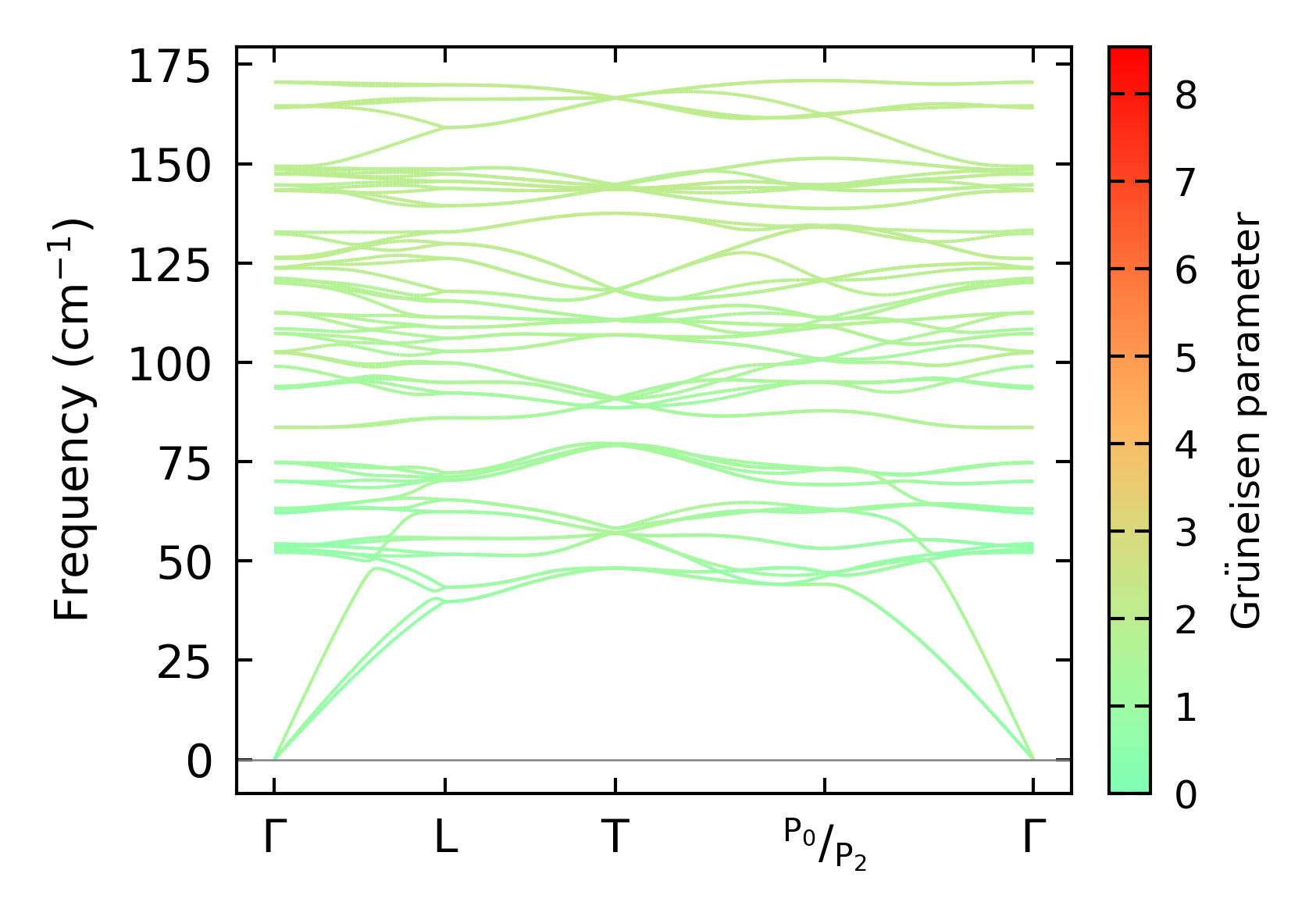
../../_images/fig_gruneisen660.png

(b) Phonon dispersion with Grüneisen parameters

Thermal conductivity

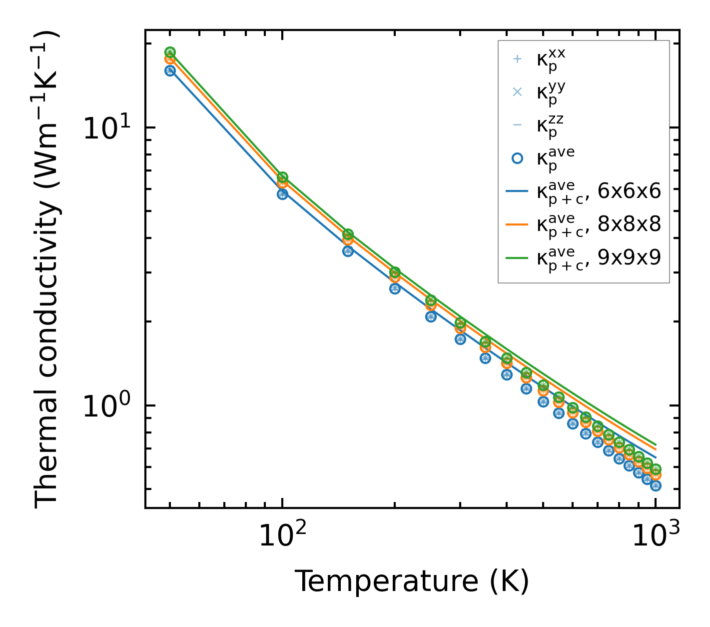
3-phonon (LASSO) — q-mesh: 9x9x9, supercell: 1x1x2

../../_images/fig_kappa1286.png

(a) Temperature-dependent lattice thermal conductivity

../../_images/fig_kappa_vs_grain_size668.png

(b) Peierls lattice thermal conductivity w.r.t grain size

Phonon lifetime and scattering rates

../../_images/fig_lifetime658.png

(a) Phonon lifetime due to phonon-phonon scattering

../../_images/fig_scat_rates657.png

(b) Phonon scattering rates

Cumulative and spectral thermal conductivity

../../_images/fig_cumu_frequency658.png

(a) Spectral and cumulative thermal conductivity w.r.t frequency

../../_images/fig_cumu_mfp658.png

(b) Spectral and cumulative thermal conductivity w.r.t MFP

Force constants

../../_images/fig_fc2943.png

(a) Force constants w.r.t atomic distance

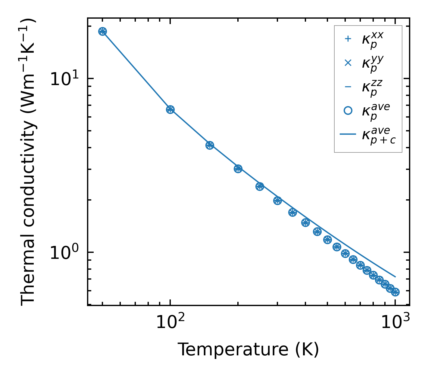
Summary

../../_images/fig_kappa1287.png

(a) Temperature-dependent lattice thermal conductivity

../../_images/fig_times1611.png

(b) Computation time