mp-979340/Sr2LiTaN3F/anharm

Harmonic properties

../../_images/fig_bandos_pr1073.png

(a) Phonon dispersion with participation ratio and DOS

../../_images/fig_thermo1073.png

(b) Thermodynamic properties

Grüneisen parameters

../../_images/fig_gru_all659.png

(a) Grüneisen parameters

../../_images/fig_gruneisen659.png

(b) Phonon dispersion with Grüneisen parameters

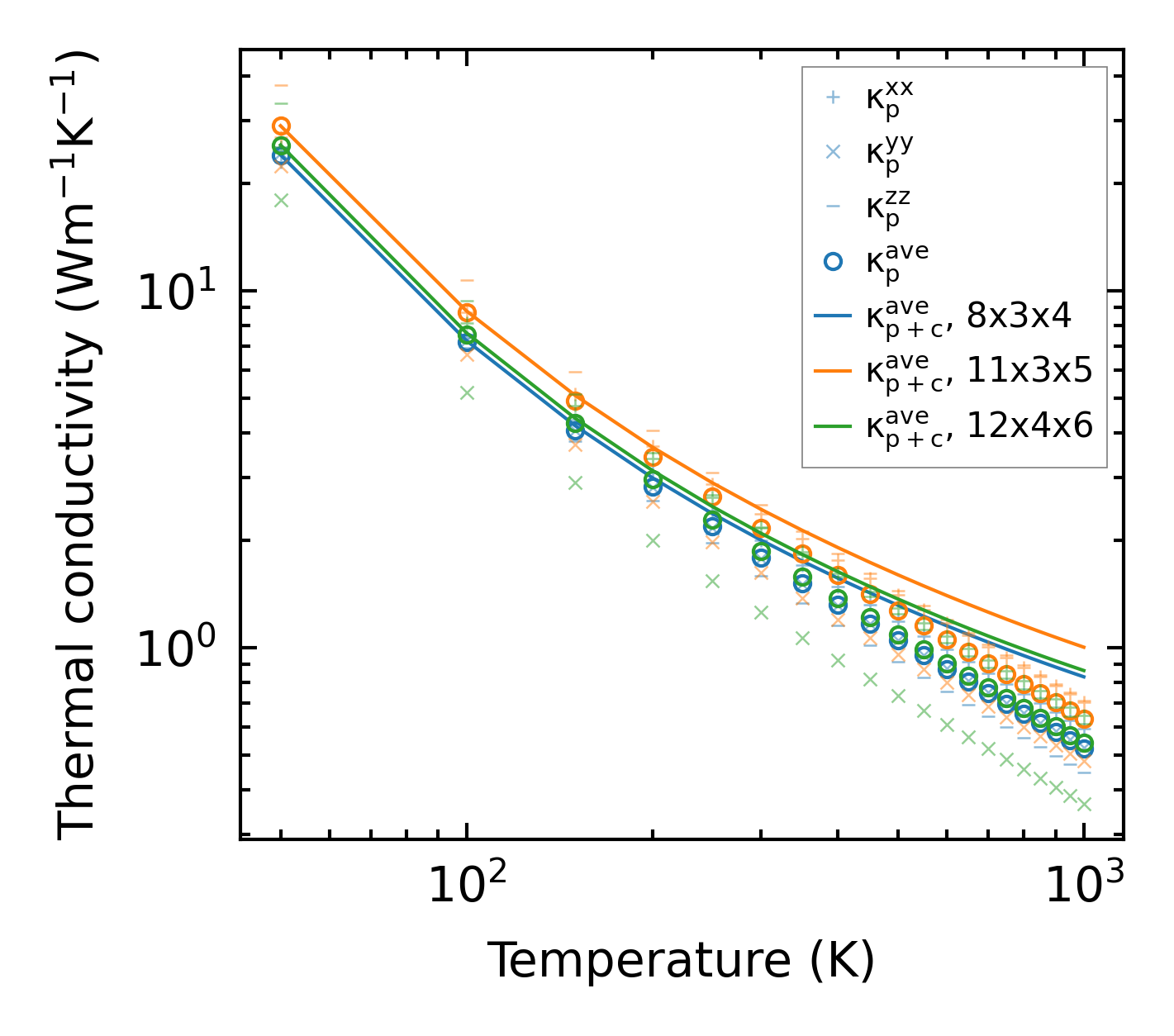
Thermal conductivity

3-phonon (LASSO) — q-mesh: 12x4x6, supercell: 2x1x1

../../_images/fig_kappa1284.png

(a) Temperature-dependent lattice thermal conductivity

../../_images/fig_kappa_vs_grain_size667.png

(b) Peierls lattice thermal conductivity w.r.t grain size

Phonon lifetime and scattering rates

../../_images/fig_lifetime657.png

(a) Phonon lifetime due to phonon-phonon scattering

../../_images/fig_scat_rates656.png

(b) Phonon scattering rates

Cumulative and spectral thermal conductivity

../../_images/fig_cumu_frequency657.png

(a) Spectral and cumulative thermal conductivity w.r.t frequency

../../_images/fig_cumu_mfp657.png

(b) Spectral and cumulative thermal conductivity w.r.t MFP

Force constants

../../_images/fig_fc2941.png

(a) Force constants w.r.t atomic distance

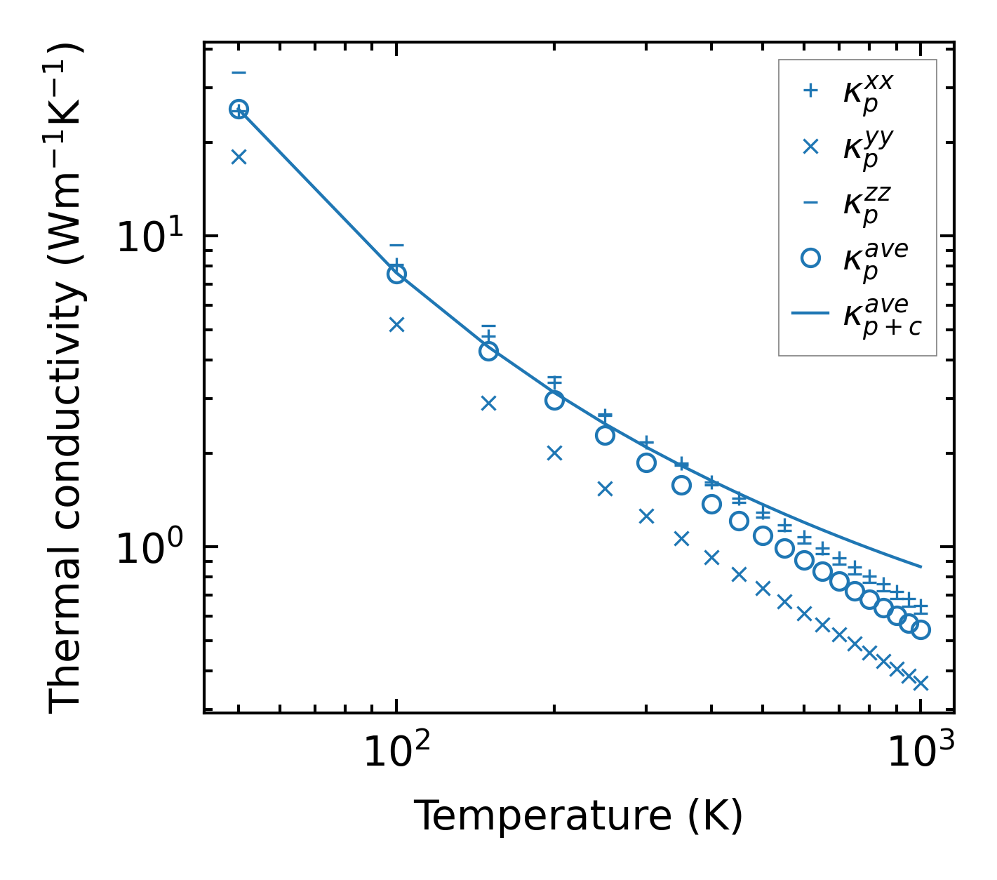
Summary

../../_images/fig_kappa1285.png

(a) Temperature-dependent lattice thermal conductivity

../../_images/fig_times1609.png

(b) Computation time